М
Молодежь
К
Компьютеры-и-электроника
Д
Дом-и-сад
С
Стиль-и-уход-за-собой
П
Праздники-и-традиции
Т
Транспорт
П
Путешествия
С
Семейная-жизнь
Ф
Философия-и-религия
Б
Без категории
М
Мир-работы
Х
Хобби-и-рукоделие
И
Искусство-и-развлечения
В
Взаимоотношения
З
Здоровье
К
Кулинария-и-гостеприимство
Ф
Финансы-и-бизнес
П
Питомцы-и-животные
О
Образование
О
Образование-и-коммуникации
brll1bellrf43
brll1bellrf43
29.12.2021 13:35 •  Математика

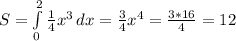
Вычислите площадь фигуры, ограниченной линиями. x^3-4y=0, x-2=0, y=0

👇
Ответ:

ответ: Площадь S=12.

Дано:  y1 = 1/4*x³, у2 = x = 2, y3 = 0.

Найти: S=? - площадь фигуры.

Пошаговое объяснение:

Рисунок к задаче в приложении.

1) Находим пределы интегрирования - точки пересечения функций.

а = y1(2) = 1/4*2³ = 2 - верхний предел.

b = y1=y3 = 0 - нижний предел.

Площадь - интеграл разности функций: S = S(a) - S(b).

S=\int\limits^2_0 {\frac{1}{4}x^3 } \, dx=\frac{3}{4}x^4=\frac{3*16}{4}=12


Вычислите площадь фигуры, ограниченной линиями. x^3-4y=0, x-2=0, y=0
4,4(79 оценок)
Открыть все ответы
Ответ:
YndoQ
YndoQ
29.12.2021
А)
1)19-15 4\7=13 3\7
2)13 3\7:16\21=94\7*21\16=141\8=17 5\8
3)17 5\8+6 3\5=23+(25\40+24\40)=23+49\40=24 9\40
4)24 9\40-4 5\6=20+(27\120-100\120)=20-73\120=19 47\120
б)
1)2:3 1\5=2*5\16=5\8
2)3 1\4-2\3=3+(3\12-8\12)=3-5\12=2 7\12
3)2 7\12:3=31\12*1\3=31\36
4)2 5\18-17\36=2+(10\36-17\36)=2-7\36=1 29\36
5)1 29\36:65\18=65\36*18\65=1\2
6)5\8+31\36=45\72+62\72=107\72
7)107\72-1\2=107\72-36\72=71\72

в) S=a*b
b=4\15 м
S=16\75 м²
a=S\b=16\75^4\15=16\75*15\4=4\5 м
P=2(a+b)
P=2*(4\15+4\5)=2*(4\15+12\15)=2*16\15=32\15=2 2\15 м
4,6(6 оценок)
Ответ:
Veid
Veid
29.12.2021
1.Вычислите: -16: (4 ∙(-7) +20). 

Варианты ответов: а) -2; б) 8; в) -3; г) 2. 

2.Вычислите: -32,2: 0,23. Варианты ответов: а) -140; б) 14; в) 140; г) -14. 

3.Вычислите: 0,2 ∙323 - 15 ∙ 16 . Варианты ответов: а) - 710;б) 35; в) 710; г) - 35. 

4.Туристы проехали 60 км, что составило 23 всего пути. Найдите длину всего пути. 

Варианты ответов: а) 40км; б) 90км; в) 50км; г) 30км. 

5.Билет на электричку стоит 40 рублей. Ожидается повышение цены на 10%. Какое наибольшее количество можно будет купить на 300 рублей? 

Варианты ответов: а) 6; б) 7; в)8; г) 9. 

6.Сколько рейсов понадобится сделать машине грузоподъемностью 114 т, чтобы перевести груз массой 6т? Варианты ответов: а) 3; б) 6; в) 4; г) 5.

7.Решите уравнение: 2(0,6х-3) – 3(-0,1х + 3) = 0 

Варианты ответов: а) 0,001; б) 100; в) 10; г)0,1. 

8.Одновременно из двух сел, расстояние между которыми 24 км, отправились навстречу друг другу велосипедист и пешеход. Через 1,5 часа они встретились. Определите скорость пешехода, если скорость велосипедиста 12км/ч. 

Варианты ответов: а) 7; б) 6; в) 5; г) 4. 
4,6(63 оценок)
Новые ответы от MOGZ: Математика
logo
Вход Регистрация
Что ты хочешь узнать?
Спроси Mozg
Открыть лучший ответ