М
Молодежь
К
Компьютеры-и-электроника
Д
Дом-и-сад
С
Стиль-и-уход-за-собой
П
Праздники-и-традиции
Т
Транспорт
П
Путешествия
С
Семейная-жизнь
Ф
Философия-и-религия
Б
Без категории
М
Мир-работы
Х
Хобби-и-рукоделие
И
Искусство-и-развлечения
В
Взаимоотношения
З
Здоровье
К
Кулинария-и-гостеприимство
Ф
Финансы-и-бизнес
П
Питомцы-и-животные
О
Образование
О
Образование-и-коммуникации

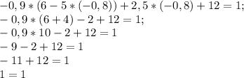
Докажите тождество: -0,9(6-5×(-0,8))+2,5×(-0,8)+12=1

👇
Ответ:
Artemmmmhdjm
Artemmmmhdjm
18.04.2021

Пошаговое объяснение:

-0,9(6-5×(-0,8))+2,5×(-0,8)+12=1

-0,9(6+4)-2+12=1

-9-2+12=1

1=1

4,7(90 оценок)
Ответ:

1=1, что и требовалось доказать

Пошаговое объяснение:

-0,9*(6-5*(-0,8))+2,5*(-0,8)+12=1;\\-0,9*(6+4)-2+12=1;\\-0,9*10-2+12=1\\-9-2+12=1\\-11+12=1\\1=1

4,8(74 оценок)
Открыть все ответы
Ответ:
vikaivanyk
vikaivanyk
18.04.2021
4  задание320=2*2*2*2*2*2*5240=2*2*2*2*3*5200=2*2*2*5*52*2*2*5=40 наибольшее количество пакетов320/40=8 орехов240/40=6 конфет200/40=5 пряников
8 задание
Нужно найти наибольший общий делитель чисел 680, 1600 и 2400, разложим эти числа на простые множители:680=2*2*2*5*171600=2*2*2*2*2*2*5*52400=2*2*2*2*2*3*5*5НОД (680,1600,2400)=2*2*2*5=40, значит в каждом вагоне 40 тонн груза, тогда:1) 2400:40=60 (вагонов) - в первом товарном поезде2) 1600:40=40 (вагонов) - во втором товарном поезде3) 680:40=17 (вагонов) - в третьем товарном поезде4)НОД(200,240,320)=40-столько можно сделать подарков
200:40=5 пряников
240:40=6 конфет
320:40=8 орехов
7)6-1,2,3,6
28-1,2,4,7,14,28
20-1,2,4,5,10,20
8)НОД(2400,1600,680)=40 тонн в одном вагоне
В 1-2400:40=60 вагонов
Во 2-1600:40=40 вагонов
В 3-680:40=17 вагонов
10)2415:23=(2300+115):23=2300:23+115:23=100+5=105
1683:17=(1700-17):17=1700:17-17:17=100-1=99
4,5(59 оценок)
Ответ:
HelpPlzzzzz
HelpPlzzzzz
18.04.2021
1 монета из первого мешочка
2 монеты из второго  мешочка
и т.д.
9 монет из девятого мешочка
(десятый не трогаем)

их вес не больше чем (1+2+..+9)*10=(9*(8-1):2)*10=360<750 можно взвешивать.
если цифра суммы масс монет заканчивается на 0 значит фальшивые в 10 мешочке
если на 1, значит в 9 мешочке (9*9=..1)
если на 2 значит в 8 мешочке (9*8=..2)
если на 3 значит в 7 мешочке (9*7=..3)
если на 4 значит в 6 мешочке (9*6=..4)
если на 5 значит в 5 мешочке (9*5=...5)
если на 6 значит в 4 мешочке (9*4=...6)
если на 7 значит в 3 мешочке (9*3=..7)
если на 8 значит во 2 мешочке (9*2=..8)
если на 9 значит в 1 мешочке (9*1=..9)

так как сумма масс настоящих монет будет давать круглое число (Сумма отдельной монеты*количество монет*10)
а фальшивые будут давать в сумме число с ненулевой цифрой что скажется на общем счете , или с нулевой если случай 10 монет 10*9=90 г

таким образом за одно взвешевание мы определим мешочек с фальшивыми монетами
4,5(48 оценок)
Это интересно:
Новые ответы от MOGZ: Математика
Полный доступ к MOGZ
Живи умнее Безлимитный доступ к MOGZ Оформи подписку
logo
Вход Регистрация
Что ты хочешь узнать?
Спроси Mozg
Открыть лучший ответ