М
Молодежь
К
Компьютеры-и-электроника
Д
Дом-и-сад
С
Стиль-и-уход-за-собой
П
Праздники-и-традиции
Т
Транспорт
П
Путешествия
С
Семейная-жизнь
Ф
Философия-и-религия
Б
Без категории
М
Мир-работы
Х
Хобби-и-рукоделие
И
Искусство-и-развлечения
В
Взаимоотношения
З
Здоровье
К
Кулинария-и-гостеприимство
Ф
Финансы-и-бизнес
П
Питомцы-и-животные
О
Образование
О
Образование-и-коммуникации
yujejal
yujejal
19.12.2022 18:26 •  Математика

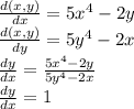
Найти значение dy/dx в точке м(x0,y0) для функций, заданных неявно. x^5+y^5-2xy=0 m(1; 1)

👇
Ответ:
vanchugovp02hjd
vanchugovp02hjd
19.12.2022

\frac{d(x,y)}{dx}=5x^4-2y\\ \frac{d(x,y)}{dy} =5y^4-2x\\ \frac{dy}{dx} =\frac{5x^4-2y}{5y^4-2x} \\\frac{dy}{dx} =1

Пошаговое объяснение:

4,6(97 оценок)
Открыть все ответы
Ответ:
notix55
notix55
19.12.2022
1)180/6=30 за год                                                                                                2)30/2=15 один оператор                                                                                  3)15*8=120 за 8 лет                                                                                                                                                                                                                            1)300/5=60чел.за один рейс два автобуса.                                                      2)60/2=15чел. в одном автобусе.                                                                      3)15*7=105чел. за 7 рейсов
4,5(41 оценок)
Ответ:
Vasilisa260216
Vasilisa260216
19.12.2022

Даны векторы a=–2i–6j+5k , b=i–j+4k , c=6i–2j–3k.

Или в координатном виде a = (-2; -6; 5). b = (1; -1; 4). c = (6; -2; -3).

Находим векторы  a+b, b–c, a+c,

вектор a+b = (-1; -7; 9).

вектор  b–c = (-5; 1; 7).

вектор a+c = (4; -8; 2).

Объем пирамиды, построенной на векторах a1(X1;Y1;Z1), a2(X2;Y2;Z2), a3(X3;Y3;Z3) равен (1/6) векторного произведения:  

X1 Y1 Z1

X2 Y2 Z2

X3 Y3 Z3.

Подставив координаты векторов a+b, b–c, a+c, получаем определитель матрицы: ∆ = -1*(1*2 - (-8)*7) - -5*((-7)*2 - (-8)*9) + 4*((-7)*7 - 1*9) = 0.

Объём равен нулю.

4,4(9 оценок)
Это интересно:
Новые ответы от MOGZ: Математика
logo
Вход Регистрация
Что ты хочешь узнать?
Спроси Mozg
Открыть лучший ответ