М
Молодежь
К
Компьютеры-и-электроника
Д
Дом-и-сад
С
Стиль-и-уход-за-собой
П
Праздники-и-традиции
Т
Транспорт
П
Путешествия
С
Семейная-жизнь
Ф
Философия-и-религия
Б
Без категории
М
Мир-работы
Х
Хобби-и-рукоделие
И
Искусство-и-развлечения
В
Взаимоотношения
З
Здоровье
К
Кулинария-и-гостеприимство
Ф
Финансы-и-бизнес
П
Питомцы-и-животные
О
Образование
О
Образование-и-коммуникации
jonjonson
jonjonson
20.03.2021 16:40 •  Математика

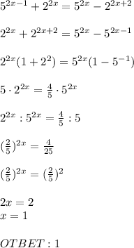
5(в степени 2x-1) +2 (в степени 2x) = 5(в степени 2x) -2(в степени 2x+2)

👇
Ответ:
Сэээээ
Сэээээ
20.03.2021

ответ: 1


Пошаговое объяснение:

5^{2x-1}+2^{2x}=5^{2x}-2^{2x+2}\\ \\ 2^{2x}+2^{2x+2}=5^{2x}-5^{2x-1}\\ \\ 2^{2x}(1+2^{2})=5^{2x}(1-5^{-1})\\ \\ 5\cdot2^{2x}=\frac{4}{5} \cdot5^{2x}\\ \\2^{2x}:5^{2x}=\frac{4}{5}:5\\ \\ (\frac{2}{5})^{2x}=\frac{4}{25} \\ \\ (\frac{2}{5})^{2x}=(\frac{2}{5})^2\\ \\ 2x=2\\ x=1\\ \\ OTBET:1

4,4(45 оценок)
Открыть все ответы
Ответ:
darabajkova4770
darabajkova4770
20.03.2021

Четырехугольник ABCD.

BE = CD = 5  

(

с

м

2

)

;

1) AE * BE : 2 = 2 * 5 : 2 = 10 : 2 = 5  

(

с

м

2

)

− площадь треугольника ABE;

2) ED * CD = 5 * 5 = 25  

(

с

м

2

)

− площадь квадрата EBCD;

3) 5 + 25 = 30  

(

с

м

2

)

− площадь четырехугольника ABCD.

ответ: 30  

с

м

2

 

Треугольник KMNF.

1) KF * MF : 2 = 6 * 10 : 2 = 60 : 2 = 30  

(

м

2

)

− площадь треугольника KMF;

2) MF * FN : 2 = 10 * 3 : 2 = 30 : 2 = 15  

(

м

2

)

− площадь треугольника MFN;

3) 30 + 15 = 45  

(

м

2

)

− площадь треугольника KMNF.

ответ: 45  

м

2

 

Четырехугольник PTQR.

1) PX * TX : 2 = 5 * 8 : 2 = 40 : 2 = 20  

(

д

м

2

)

− площадь треугольника PTX;

2) TX * XY = 8 * 7 = 56  

(

д

м

2

)

− площадь прямоугольника TQXY;

3) QY = TX = 8 (дм);

QY * YR : 2 = 8 * 4 : 2 = 32 : 2 = 16  

(

д

м

2

)

− площадь треугольника QYR;

4) 20 + 56 + 16 = 76 + 16 = 92  

(

д

м

2

)

− площадь четырехугольника PTQR.

ответ: 92  

д

м

2

Пошаговое объяснение:

4,5(44 оценок)
Ответ:
PuvMan
PuvMan
20.03.2021
Театральная музыка

        в широком смысле музыка в любых театральных спектаклях, то есть как в постановках театра музыкального (Опера,Балет, Оперетта, Музыкальная драма,Музыкальная комедия), так и драматического. Обычно под Т. м. понимают только музыку в спектаклях драматического театра (в трагедии (См. Трагедия), драме (См. Драма), комедии (См.Комедия)). В музыкальном театре музыка — важнейшее средство характеристики образов и сценических положений, неотъемлемый компонент драматургии спектакля, в конечном счёте — ведущий проводник художественной идеи. В драматическом театре она созданию определённой эмоциональной атмосферы спектакля; наряду с прочими средствами воссоздаёт исторический, национальный и локальный колорит, углубляет характеристики персонажей, подчёркивает переломные моменты развития действия, драматические кульминации. Велика её роль в лирических сценах, в обрисовке сказочных, фантастических образов. Часто она выполняет и важную драматургическую роль.

         Издавна известны формы драматического искусства, в которых музыка занимала большое место, — античная трагедия и комедия, итальянская Комедия дель арте, английские маски (См. Маска), китайский театр, театральные жанры народов Востока и др. В западноевропейском драматическом искусстве 19—20 вв. такими формами стали опера-водевиль, пролог как самостоятельная пьеса, дивертисмент.

         В ряде пьес включение определённых музыкальных номеров предусмотрено самим драматургом; эти номера составляют органическую часть такой пьесы и должны исполняться во всех её постановках. В др. случаях Т. м. представляет один из элементов постановки пьесы, вводимый режиссёром в соответствии с его сценическим замыслом. Иногда режиссёр привлекает композитора, который создаёт музыкальное оформление пьесы для данной постановки. Режиссёр может также отбирать представляющиеся ему подходящими музыкальные пьесы и фрагменты из различных сочинений, не связанных с постановкой.

         Т. м., включение которой в спектакль предопределено драматургом, это большей частью музыкальные пьесы, исполняющиеся непосредственно на сцене (сольное и хоровое пение, игра на музыкальных инструментах, бальный или военный оркестр и др.). При этом обычно музыка звучит за сценой, актёр же только имитирует игру на музыкальном инструменте и даже пение. Часто реальному или имитируемому пению на сцене аккомпанирует оркестр, не предусмотренный сценическим действием; иногда так же ставятся и танцевальные сцены. Т. м., относящаяся к сценическому оформлению данной постановки, звучит главным образом во время немых, мимических сцен, иногда же составляет фон для монологов, диалогов и др. Наряду с привлечением артистов-музыкантов, хора, оркестра в 20 в. для музыкального оформления спектакля часто используется звукозапись.

         Помимо музыкальных номеров, вплетающихся в сценическое действие, применяются и относительно крупные инструментальные пьесы, предваряющие всю постановку или отдельные акты спектакля, —Увертюра и Антракты. Такие музыкальные сочинения, по характеру образов и их развитию тесно связанные с данной пьесой, представляют разновидность программной музыки.

         Многие номера Т. м., написанные выдающимися композиторами, живут и самостоятельной жизнью, исполняются в концертах в первоначальном виде (главным образом увертюры, например Л. Бетховена к драме «Эгмонт» Гёте, Ф. Мендельсона-Бартольди к комедии «Сон в летнюю ночь» Шекспира) или в осуществленных автором обработках, обычно в виде сюит (например, сюиты Э. Грига из музыки к драме Ибсена «Пер Гюнт», сюита Ж. Визе из музыки к драме «Арлезианка» Доде и др.). Для драматического театра писали многие композиторы, в том числе Ж. Б. Люлли («Мещанин во дворянстве», «Господин де Пурсоньяк» Мольера), Р. Шуман («Манфред» Байрона), О. А. Козловский («Фингал» Озерова), А. Н. Верстовский («Параша Сибирячка» Полевого), М. И. Глинка («Князь Холмский» Кукольника), М. А. Балакирев («Король Лир» Шекспира), П. И. Чайковский («Снегурочка» Островского), А. С. Аренский («Буря» Шекспира), А. К. Глазунов («Маскарад» Лермонтова). Яркие страницы Т. м. создали советские композиторы: Д. Б. Кабалевский («Гибель эскадры» Корнейчука, «Школа злословия» Шеридана), А. А. Крейн («Много шума из ничего» Шекспира), А. И. Хачатурян («Маскарад» по Лермонтову), Т. Н. Хренников («Много шума из ничего» Шекспира, «Давным-давно» Гладкова), Д. Д. Шостакович («Гамлет» Шекспира).
4,6(52 оценок)
Новые ответы от MOGZ: Математика
logo
Вход Регистрация
Что ты хочешь узнать?
Спроси Mozg
Открыть лучший ответ