М
Молодежь
К
Компьютеры-и-электроника
Д
Дом-и-сад
С
Стиль-и-уход-за-собой
П
Праздники-и-традиции
Т
Транспорт
П
Путешествия
С
Семейная-жизнь
Ф
Философия-и-религия
Б
Без категории
М
Мир-работы
Х
Хобби-и-рукоделие
И
Искусство-и-развлечения
В
Взаимоотношения
З
Здоровье
К
Кулинария-и-гостеприимство
Ф
Финансы-и-бизнес
П
Питомцы-и-животные
О
Образование
О
Образование-и-коммуникации
laykutina
laykutina
19.08.2021 06:25 •  Математика

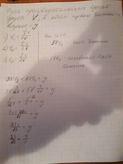
Вмомент когда два бассейна были пустыми, 7 труб одинаковой производительности были подключены для заполнения первого бассейна. когда первый бассейн был заполнен на 1/4 его объема, 3 трубы переключили для заполнения второго бассейна. когда первый бассейн был заполнен на 1/2 его объема, еще 2 трубы переключили для заполнения второго бассейна. после этого оба бассейна наполнились доверху одновременно. найдите отношение объемов бассейнов (временем на переключение пренебречь) нужно лишь решение - ответ 23/16

👇
Ответ:
va1k
va1k
19.08.2021
Трубы работают одинаково и одновременно, поэтому общая производитель гость 7V. Пока первый заполнялся на одну четверть, второй был пустой. Сложив заполненные части второго бассейна, мы получим полный обьем бассейна. Путем преобразовании и подставляя вместо времени выражения, мы получим соотношение объемов
Вмомент когда два бассейна были пустыми, 7 труб одинаковой производительности были подключены для за
4,5(49 оценок)
Открыть все ответы
Ответ:
akimovilya20
akimovilya20
19.08.2021
Пусть производительность первого рабочего x (1/ч) , второго -- y (1/ч) .
Тогда первому рабочему потребуется на выполнение всего задания (1/x) часов, второму -- (1/y) часов. Записываем первое уравнение:
(1) 1/y - 1/x = 3.
За 4 часа первый рабочий выполнит (4x) задания, второй за 3 часа выполнит (3y) задания. Вместе они выполнят всё задание, т. е. 1. Имеем второе уравнение:
(2) 4x + 3y = 1 => y = (1 - 4x)/3
Подставляя в (1), получим
3/(1-4x) - 1/x = 3. Умножаем на x(1-4x):
3x - (1-4x) = 3x(1-4x); 7x -1 = 3x - 12x^2;
12x^2 + 4x - 1 = 0. Нас интересует только положительное значение x, поэтому
x = (-2 + sqrt(2^2+12))/12 = (-2+4)/12 = 1/6.
Значит, первому рабочему на выполнение всего задания потребуется 1/x = 6 часов.
4,5(82 оценок)
Ответ:
lizaivanovamail
lizaivanovamail
19.08.2021

Пошаговое объяснение:

а) Число делится на 3 , если сумма его цифр делится на 3

3210-1230=1980

1+9+8+0=18 - сумма делится на 3, значит и число кратно 3

1980:3=660

б) Число делится на 9 , если сумма его цифр делится на 9

7470-333=7137

7+1+3+7=18 - сумма цифр делится на 9 , значит и число кратно 9

7137:9=793

в) Число делится на 2 , если его последняя цифра четная

14900*17- 2586=250 714

последняя цифра 4 - четная , значит число кратно 2

250714:2=125 357

г) Число делится на 10 , если оно оканчивается на 0

4258*125-350*729=532250 - 255150=277100

Число оканчивается на 0 , значит число кратно 10

277100:10=27710

4,4(23 оценок)
Это интересно:
Новые ответы от MOGZ: Математика
logo
Вход Регистрация
Что ты хочешь узнать?
Спроси Mozg
Открыть лучший ответ