М
Молодежь
К
Компьютеры-и-электроника
Д
Дом-и-сад
С
Стиль-и-уход-за-собой
П
Праздники-и-традиции
Т
Транспорт
П
Путешествия
С
Семейная-жизнь
Ф
Философия-и-религия
Б
Без категории
М
Мир-работы
Х
Хобби-и-рукоделие
И
Искусство-и-развлечения
В
Взаимоотношения
З
Здоровье
К
Кулинария-и-гостеприимство
Ф
Финансы-и-бизнес
П
Питомцы-и-животные
О
Образование
О
Образование-и-коммуникации
az12345687
az12345687
15.11.2021 17:51 •  Математика

Менша основа рівнобічної трапеції дорівнює 8 см. точка перетину діагоналей трапецї віддалена від основ на 2 см і 3 см. знайдіть площу трапецї.

👇
Ответ:
Ditroid
Ditroid
15.11.2021

ответ:  50 см²

Пошаговое объяснение:

О - точка пересечения диагоналей.

Расстояние от точки О до оснований - длины перпендикуляров, проведенных из О к основаниям:

ОК = 2 см, ОН = 3 см.

Тогда КН = 5 см - высота трапеции.

∠СВО = ∠АDО как накрест лежащие при пересечении параллельных прямых AD и ВС секущей AD,

∠СОВ = ∠AOD как вертикальные, значит

ΔСОВ ~ ΔAOD по двум углам.

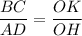
В подобных треугольниках отношение высот, проведенных к соответствующим сторонам, равно коэффициенту подобия, значит

\dfrac{BC}{AD}=\dfrac{OK}{OH}

\dfrac{8}{AD}=\dfrac{2}{3}

AD=\dfrac{3\cdot 8}{2}=12 см

S=\dfrac{AD+BC}{2}\cdot KH=\dfrac{12+8}{2}\cdot 5=50 см²


Менша основа рівнобічної трапеції дорівнює 8 см. точка перетину діагоналей трапецї віддалена від осн
4,6(21 оценок)
Открыть все ответы
Ответ:
lllkjhgf
lllkjhgf
15.11.2021

Звірі ж своїх спадкоємців виношують в плаценті або в спеціальних сумках, яйця не відкладають, а дитинчат вигодовують молоком, яке ті висмоктують з сформованих молочних залоз. Цікавою рисою звірів, крім системи відтворення, є наявність зовнішніх вух, диференційованих зубів, волосяного покриву і теплокровності.

Походженням своїм звірі зобов’язані цинодонти, невеликим організмам, які з’явилися наприкінці тріасу. Масове вимирання ящерів дозволило пращурам сучасних звірів вижити і поширитися практично по всій землі, крім внутрішніх районів Антарктиди,

Тварини – це одна з основних одиниць живого світу. У старій класифікації, яка використовувалася в радянській біології, говорилося про існування Царства Тварин, Рослин і Грибів. Сьогодні Тварини – це царство, яке відноситься до домену еукаріоти або організмів, чиї клітини мають ядро. Тваринами займається наука зоологія, а самі організми мають ряд відмінних властивостей, що виділяють їх з інших представників живих організмів, що населяють Землю.

Всі тварини самі не виробляють, а лише поїдають готові органічні сполуки. Вони – гетеротрофи, а не автотрофи, як рослини. Тварини можуть бути всеїдними, м’ясоїдними, рослиноїдних або паразитами. Гриби, до речі, теж гетеротрофи, але вони позбавлені можливості пересуватися. Ось ще одна особливість тварин!

Царство тварин дивує кількістю організмів і різноманіттям форм. До нього відносяться одноклітинні і багатоклітинні організми. Ну шось таке

4,6(45 оценок)
Ответ:
mit210404
mit210404
15.11.2021
В нынешнее время настоящая дружба – это редкое явление. Люди могут казаться хорошими и добрыми друзьями, но на самом деле такими не быть. Залог настоящей дружбы – это уверенность в том, что именно тот человек, которого ты считаешь своим другом, никогда не предаст и не оставит тебя в трудную минуту, никому не расскажет твои тайны. Настоящий друг никогда не будет советовать что-то плохое, а наоборот, постарается сделать лучше для тебя.

Настоящие друзья никогда не бросают в беде и остаются с вами навсегда верными и единственными. Всегда поддерживают и если человек нуждается в этом, не навязывают своего мнения, не обижают друг друга. Дружба это святое. Даже если товарищам приходится расставаться, они все равно навсегда остаются у нас в сердцах, и мы о них никогда не забываем
4,4(84 оценок)
Это интересно:
Новые ответы от MOGZ: Математика
logo
Вход Регистрация
Что ты хочешь узнать?
Спроси Mozg
Открыть лучший ответ