М
Молодежь
К
Компьютеры-и-электроника
Д
Дом-и-сад
С
Стиль-и-уход-за-собой
П
Праздники-и-традиции
Т
Транспорт
П
Путешествия
С
Семейная-жизнь
Ф
Философия-и-религия
Б
Без категории
М
Мир-работы
Х
Хобби-и-рукоделие
И
Искусство-и-развлечения
В
Взаимоотношения
З
Здоровье
К
Кулинария-и-гостеприимство
Ф
Финансы-и-бизнес
П
Питомцы-и-животные
О
Образование
О
Образование-и-коммуникации

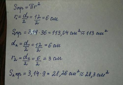
Найдите площадь круга у которого диаметр разве 12 см. найдите площадь круга, у которого диаметр в 2 раза меньше диаметра первого круга. решите ответ в учебнике: 113 см(в квадрате), 28,3 см(в квадрате) все примерно

👇
Ответ:
tsey12kirill
tsey12kirill
05.12.2022
Решение смотри на фото
Найдите площадь круга у которого диаметр разве 12 см. найдите площадь круга, у которого диаметр в 2
4,8(46 оценок)
Открыть все ответы
Ответ:
Dasha555m
Dasha555m
05.12.2022

55 шт.

Пошаговое объяснение:

1. "Если укладывать в  ряд по 10 плиток, то для квадратной площадки плиток не хватит."

Квадратная площадка из 10 плиток в ряду должна была бы быть

10 х 10 = 100 плиток

значит осталось меньше  100 плиток .

2. "При укладывании  8 плиток ряд остается один неполный ряд,а при укладывании по 9 плиток тоже остается  неполный ряд, в котором на 6 плиток меньше, чем в неполном ряду при укладывании на 8".

Неполный ряд  , при укладывании по 8 плиток , может составлять от 1 до 7 плиток , но ,

по условию в неполном ряду , при укладывании по 9 плиток в ряд , остается неполный ряд в котором на 6 плиток меньше , чем в неполном ряду из 8 плиток в ряд.

Такое возможно  если в  неполном ряду (при укладке 8 плиток в ряд) будет 7 плиток , тогда в неполном 9-плиточном ряду будет 1 плитка ( 7-6=1)

Значит можем составить уравнение :

пусть было х рядок плитки , тогда

8х+7= 9х+1

9х-8х=7-1

х= 6 рядов было плитки , а всего плиток было

8*6+7=48+7=55 шт

4,6(25 оценок)
Ответ:
Janna91
Janna91
05.12.2022
Былина «Вольга и Микула Селянович» повествует о случае, когда князь Вольга Святославович едет со своей дружиной взимать дань. В поле он встречает Микулы и, поразившись его силе, предлагает богатырю присоединиться к нему. Когда герои уже далеко отъехали, Микула вспомнил, что забыл свою соху. Многие дружинники пытались ее вытащить из земли – бесполезно. А богатырь смог ее вытащить одной рукой. На вопрос князя «кто ты такой»? Микула отвечает, что он крестьянин, пашет землю, кормит хлебом матушку-Русь. Эта былина учит нас жить и трудиться во благо людей. Она прославляет людей труда, воспитывает уважение к труженикам и крестьянскому труду, описывает силу и мощь русского народа.
4,8(98 оценок)
Новые ответы от MOGZ: Математика
logo
Вход Регистрация
Что ты хочешь узнать?
Спроси Mozg
Открыть лучший ответ