2. Угол при основании равнобедренного треугольника АВС равен 32º, АВ -его боковая сторона, АМ- биссектриса треугольника. Найдите углы треугольника АВМ. (Рассмотрите два случая.)
1) ∠В=180º - 32º*2 = 116º
Так как АМ – биссектриса ∠ВАМ=32:2=16º
∠АМВ=180 – 116-16=48º
2) Из Δ АМС ∠ АМС= 180 – 32-16= 132º
∠АМВ и ∠АМС смежные, значит ∠АМВ=180-132=48º
∠В= 180º- ∠ВАМ -∠АМВ =180-48-16=116º
3. К прямой т проведены перпендикуляры АВ и СD. Докажите, что ∆ АВD=∆ CDB, если AD = BC.
АВ и СD перпендикуляры, значит ∠ ВDС и ∠ АВD =90 º . В четырехугольнике АВDС два угла прямоугольные, а диагонали равны AD = BC. Значит АВDС – прямоугольник. У прямоугольника противоположные стороны равны.
АВ=СD , AD = BC, ВD – общая сторона.
∆ АВD=∆ CDB по трем равным сторонам.
4. В равнобедренном прямоугольном треугольнике MOP на гипотенузе МP отмечена точка К. Известно, что ∠OKP в 4 раза больше, чем ∠МОК. Найдите углы треугольника МОК.
Δ МОК прямоугольный равнобедренный.
∠М=∠Р = 90º:2=45º
∠ОКР=4*∠МОК
Из теоремы о внешних углах ∠М= ∠ОКР-∠МОК
∠М= 4*∠МОК-∠МОК=3∠МОК
∠МОК = 45º:3=15º
∠ МКО=180º - 45º -15º = 120º
Или ∠МКО= 180º - 4*15º=120º
7. В окружности с центром О проведена хорда ВС. Найдите ∠OВС и ∠ВOС, если один из них на 36 º больше другого.
Δ ОВС равнобедренный ВО=ОС= r , значит прилежащие к основанию углы равны.
∠OВС=∠OСВ =хº
2х+х+36 =180
3х = 144
х = 48
∠OВС=∠OСВ =48º
∠ВOС= 48º+36º=84º

б) x1x2 = -1, x1+x2 = -3
x1x2 <0, x1+x2 <0
Один корень со знаком +, другой со знаком -
в). x1x2 = 3, x1+x2 = 1
x1x2 >0, x1+x2 >0
Оба корня со знаком +
г). x1x2 = -3, x1+x2 = -1
x1x2 <0, x1+x2 <0
Один корень со знаком +, другой со знаком -
Такие задания решаются по теореме Виета (я прикрепила картинку с ней). Также если произведение x1x2 меньше 0, то знаки у корней разные. Если больше - одинаковые. Если одинаковые, смотрим на сумму x1+x2. Если сумма больше нуля, то плюсы, меньше - минусы
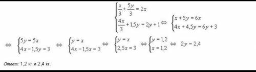
Пусть в первом слитке содержится x кг золота и 2x кг меди. Поэтому масса всего слитка 3x кг. Допустим во втором слитке золота содержится 2y кг золота и 3y кг меди. Тогда масса всего слитка 5y кг