М
Молодежь
К
Компьютеры-и-электроника
Д
Дом-и-сад
С
Стиль-и-уход-за-собой
П
Праздники-и-традиции
Т
Транспорт
П
Путешествия
С
Семейная-жизнь
Ф
Философия-и-религия
Б
Без категории
М
Мир-работы
Х
Хобби-и-рукоделие
И
Искусство-и-развлечения
В
Взаимоотношения
З
Здоровье
К
Кулинария-и-гостеприимство
Ф
Финансы-и-бизнес
П
Питомцы-и-животные
О
Образование
О
Образование-и-коммуникации
maruha3008
maruha3008
28.10.2021 16:47 •  Математика

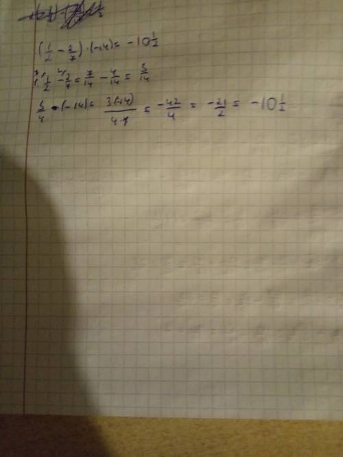
Выполните действия: (1/2-2/7)×(-14) распишите решение

👇
Ответ:
pashkevich00
pashkevich00
28.10.2021

Подпишись на меня


Выполните действия: (1/2-2/7)×(-14) распишите решение
4,4(79 оценок)
Открыть все ответы
Ответ:
jsjdn
jsjdn
28.10.2021
Определение. любое натуральное число, на которое делится (без остатка) данное натуральное число, называется делителем данного числа. любое натуральное число, которое делится (без остатка) на данное натуральное число, называется кратным данному числу. всякое натуральное число кратно нескольким натуральным числам, самому себе и 1 или только самому себе и 1. например: число 64 кратно числам: 2, 4, 8, 16, 32, 64 и 1. следовательно, число 64 можно записать как произведение двух или более его множителей: 2 * 32 = 64 2 * 4 * 8 = 64 4 * 16 = 64 1 * 64 = 64 число 162 кратно числам: 2. 3, 6, 9, 18, 27, 54, 81, 162, 1. следовательно, число 162 можно записать как произведение двух или больше его множителей: 2 * 81 = 162 2 * 3 * 27 = 162 3 * 54 = 162 3 * 6 * 9 = 162 6 * 27 = 162 1 * 162 = 162 9 * 18 = 162 число 37 кратно числам 37 и 1. следовательно, число 37 можно записать как произведение только двух множителей: 37 * 1 = 37 число 0 (нуль) занимает особое место в разделе чисел. нет числа, которое делилось бы на нуль, так как множитель нуль в составе произведения превращает произведение в нуль. правило. нуль не относится к натуральным числам. на нуль делить нельзя.
4,8(53 оценок)
Ответ:
naila79
naila79
28.10.2021

Пошаговое объяснение:

По условию задачи площадь S поля разбита на 3 части (по дням).

В первый день тракторная бригада вспахала 30% всего поля, то есть 30% * S = 0,3 * S га.

Во второй день бригада вспахала 75% остального. Поскольку, осталось (1 - 0,3) * S га = 0,7 * S га, то тракторной бригадой вспахано 0,75 * 0,7 * S га = 0,525 * S га.

В третий день вспахано оставшихся 14 га.

Имеем 0,3 * S га + 0,525 * S га + 14 га = S га или (1 - 0,3 - 0,525) * S = 0,175 * S = 14 га, откуда S = (14 : 0,175) га = 80 га.

4,6(19 оценок)
Это интересно:
Новые ответы от MOGZ: Математика
Полный доступ к MOGZ
Живи умнее Безлимитный доступ к MOGZ Оформи подписку
logo
Вход Регистрация
Что ты хочешь узнать?
Спроси Mozg
Открыть лучший ответ