
1)Рациональное число — число, представляемое обыкновенной дробью m n числитель m — целое число, а знаменатель n — натуральное число, к примеру 2/3.
2)У дроби (две третьих) числитель равен 2, а знаменатель - 3.
3) Основное свойство дроби заключается в том, что её величина не изменяется, если числитель и знаменатель дроби умножить или разделить на одно и тоже число. Например 1/5 = 1*5/5*5 + 5/25
4)Левая часть равенства 119/21=17/3 сократима, так как и 119, и 21 делятся на 7. Правая часть — несократимая дробь, так как числитель и знаменатель являются различными простыми числами.
5)а) 20/30б) 8/12в) 16/24г) 68/1026) считать по числителю
7)
Нужно привести дроби к общему знаменателю и сравнить полученные дроби.8)правильная дробь- у которой числитель меньше знаменателя, например 2/7, 100/111 и т.д
9)1 больше правильной
1 меньше или равен правильной
Правильная меньше неправильной
10) хз
11)
Складывать и вычитать дроби с разными знаменателями можно только тогда, когда в процессе вычисления дроби приведены к одному общему знаменателю.
Общий знаменатель нескольких дробей — это НОК (наименьшее общее кратное) натуральных чисел, являющихся знаменателями заданных дробей.
К числителям заданных дробей нужно поставить дополнительные множители, равные отношению НОК и соответствующего знаменателя.
Числители заданных дробей умножаются на свои дополнительные множители, получаются числители дробей с единым общим знаменателем. Знаки действий («+» или «-») в записи дробей, приводимых к общему знаменателю, сохраняются перед каждой дробью. У дробей с общим знаменателем знаки действий сохраняются перед каждым приведенным числителем.
Только теперь можно сложить или вычесть числители и подписать под результатом общий знаменатель.
12) хз
13)там ответ в 11, на 13 и на 11
14)Чтобы умножить дробь на натуральное число, надо числитель умножить на число, а знаменатель оставить тем же. Найти произведение дроби и натурального числа:
3/7 * 2 = 3 *2/7 = 6/7
15)При умножении дроби на натуральное число, мы должны ее числитель умножить на это число, а знаменатель оставить без изменения.
Чтобы умножить смешанную дробь на натуральное число, мы должны умножить и целую часть и числитель дроби на это число.
При умножении простой дроби на простую дробь, надо:
1) перемножить числители этих дробей и результат записать в числитель
2) перемножить их знаменатели и результат записать в знаменатель
16)Чтобы разделить одну дробь на другую, надо делимое умножить на число, обратное делимому.
17)Подписать под натуральным числом единицу, потом её "перевернуть" и умножаешь дробь на перевёрнутую
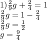
1) 8g+18=36
8g=36-18
8g=18
g=9/4(дробь)
ответ 9/4(дробь)
2) 24m+22=66
24m=66-22
24m=44
m=11/6(дробь)
ответ 11/6(дробь)
сделай лучшим ответом очень надо