М
Молодежь
К
Компьютеры-и-электроника
Д
Дом-и-сад
С
Стиль-и-уход-за-собой
П
Праздники-и-традиции
Т
Транспорт
П
Путешествия
С
Семейная-жизнь
Ф
Философия-и-религия
Б
Без категории
М
Мир-работы
Х
Хобби-и-рукоделие
И
Искусство-и-развлечения
В
Взаимоотношения
З
Здоровье
К
Кулинария-и-гостеприимство
Ф
Финансы-и-бизнес
П
Питомцы-и-животные
О
Образование
О
Образование-и-коммуникации
Terbull
Terbull
16.01.2020 22:24 •  Математика

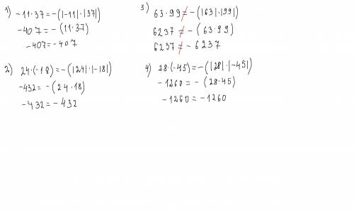
Для каких их указанных пар чисел а и b верно равенство a*b =-(|a| * |b|)? 1)a=-11,b=37. 2)a=24,b=-18 3)a=63,b=99 4)a=28,b=-45

👇
Ответ:
listova
listova
16.01.2020

верно для 1) ;2);  и4)

Пошаговое объяснение:

смотри решение внизу


Для каких их указанных пар чисел а и b верно равенство a*b =-(|a| * |b|)? 1)a=-11,b=37. 2)a=24,b=-18
4,5(26 оценок)
Открыть все ответы
Ответ:
A11002030999
A11002030999
16.01.2020
Однажды созвездие Лисичка пригласило в гости созвездие Дельфина, для того что бы объединить их королевства. Т.к. на Лисичку нападала армия созвездия Обезьяны. Дельфин согласился, но с условием, что Лисичка выйдет за него замуж. Так они и сделали. На утро армия подошла к воротам  царства Лисички с полной уверенностью победы! Но их ожидал не приятный сюрприз. Ворота открылись и на них поскакала огромная армия Лисички и Дельфина. Обезьяна испугалась и быстрее всех убежала в своё королевство. После этого Лиса и Дельфин жили долго и счастливо.(Детей не было, гибриды не нужны не кому))) Ахахах.
4,7(87 оценок)
Ответ:
MeXaHuK0
MeXaHuK0
16.01.2020

В решении.

Пошаговое объяснение:

Розв'яжи систему рівнянь методом підстановки:{x−2y=−4, 7x+9y=7. Результати обчислень округлюй до тисячних.

x − 2y = −4

7x + 9y = 7

Выразить х через у в первом уравнении, подставить выражение во второе уравнение и вычислить у:

х = 2у - 4

7(2у - 4) + 9у = 7

14у - 28 + 9у = 7

23у = 7 + 28

23у = 35

у = 35/23;

Теперь вычислить х:

х = 2у - 4

х = 2 * 35/23 - 4

х = 70/23 - 4

х = 3 1/23 - 4

х = -22/23;

Решения системы уравнений: (-22/23; 35/23).

Округлить:

х = -22/23 = -0,95652 ≈ -0,957;

у = 35/23 = 1,5217 ≈ 1,522;

Решения системы уравнений: (-0,957; 1,522).

4,7(13 оценок)
Это интересно:
logo
Вход Регистрация
Что ты хочешь узнать?
Спроси Mozg
Открыть лучший ответ