М
Молодежь
К
Компьютеры-и-электроника
Д
Дом-и-сад
С
Стиль-и-уход-за-собой
П
Праздники-и-традиции
Т
Транспорт
П
Путешествия
С
Семейная-жизнь
Ф
Философия-и-религия
Б
Без категории
М
Мир-работы
Х
Хобби-и-рукоделие
И
Искусство-и-развлечения
В
Взаимоотношения
З
Здоровье
К
Кулинария-и-гостеприимство
Ф
Финансы-и-бизнес
П
Питомцы-и-животные
О
Образование
О
Образование-и-коммуникации
Сириc
Сириc
31.03.2021 02:52 •  Математика

ответы я нашла, а вот решений нигде нету! мне нужно понять как это решается! № 364. раскройте скобки: 1) 14 * ( 1/2m + 3/7n ) ; 3) 8 * ( 1/4p - 5/24q + 7/12t ) ; 2) 1/6 ( 12/17b - 18/23c ) ; 4) 1 3/4 ( 4a + 16/21b - 2 2/3 ) . заранее .

👇
Ответ:
araratpashayan5
araratpashayan5
31.03.2021

Нужно число перед скобкой умножить на каждое число в скобках.

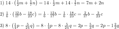
1)\;14\cdot\left(\frac12m+\frac17n\right)=14\cdot\frac12m+14\cdot\frac17n=7m+2n\\\\2)\;\frac16\cdot\left(\frac{12}{17}b-\frac{18}{23}c\right)=\frac16\cdot\frac{12}{17}b-\frac16\cdot\frac{18}{23}c=\frac2{17}b-\frac3{23}c\\\\3)\;8\cdot\left(\frac14p-\frac5{24}q\right)=8\cdot\frac14p-8\cdot\frac5{24}q=2p-\frac53q=2p-1\frac23q

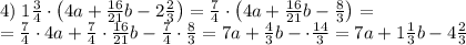
4)\;1\frac34\cdot\left(4a+\frac{16}{21}b-2\frac23\right)=\frac74\cdot\left(4a+\frac{16}{21}b-\frac83\right)=\\=\frac74\cdot4a+\frac74\cdot\frac{16}{21}b-\frac74\cdot\frac83=7a+\frac43b-\cdot\frac{14}3=7a+1\frac13b-4\frac23

4,5(48 оценок)
Открыть все ответы
Ответ:
apollow
apollow
31.03.2021
 Предметом философии является всеобщее в системе «мир-человек» … это наука о мире в целом и об отношении человека к этому миру (Алексеев К., Панин А. Диалектический материализм. М., 1987)

Существует множество определений философии. Например, философия — дисциплина, изучающая наиболее общие существенные характеристики и фундаментальные принципы реальности и познания, бытия человека, отношения человека и мира. Другой вариант: философия — форма общественного сознания, вырабатывающая систему знаний о фундаментальных принципах бытия и месте человека в мире.Термин "философия" состоит из двух греческих слов "philia" (любовь) и "sophia" (мудрость), т.е. переводится как любовь к мудрости.

Выделяются следующие функции философии:Мировоззренческая. Дает человеку цельное и рациональное мировоззрение ему критически оценивать самого себя и свое окружение.Методологическая. Дает человеку знание и показывает пути, как получать новое знание. Одним из важнейших методов философии является диалектический. Диалектика — это умение осмыслить предмет в его целостности и развитии, в единстве его базовых противоположных свойств и тенденций, в многообразных связях с другими предметами.Прогностическая. Позволяет строить прогнозы о будущем. Есть множество примеров, когда идеи философов значительно опережали свое время. Например, идея древней китайской философии об универсальном характере связей противоположных сил инь и ян нашла свое отражение в знаменитом "принципе дополнительности" Нильса Бора, легшего в основу квантово-механической картины мира.Синтетическая. Данная функция заключается в установлении взаимосвязей между сферами духовного творчества человека.

4,6(27 оценок)
Ответ:
Насяндра12
Насяндра12
31.03.2021
Дано: 1-ый прямоугольник АВСД
           АВ = 3
           ВС = 6                       
Построить 2-ой прямоугольник, S которого = 1/6 S 1-ого прямоугольника
Решение:
S 1-ого прямоугольника = 3 * 6 = 18
S 2-ого прямоугольника = 18 * 1/6 = 3
Варианты построения 2-ого прямоугольника:
1) 3см - длина, 1см - ширина
2) 2см - длина, 1,5см - ширина
3) 4см - длина, 0,75см - ширина
4) 5см - длина, 0,6см - ширина
5) 6см - длина, 0,5см - ширина
Удобнее всего для построения выбрать 2-ой прямоугольник со сторонами 3 * 1см.
4,5(15 оценок)
Это интересно:
Новые ответы от MOGZ: Математика
logo
Вход Регистрация
Что ты хочешь узнать?
Спроси Mozg
Открыть лучший ответ