М
Молодежь
К
Компьютеры-и-электроника
Д
Дом-и-сад
С
Стиль-и-уход-за-собой
П
Праздники-и-традиции
Т
Транспорт
П
Путешествия
С
Семейная-жизнь
Ф
Философия-и-религия
Б
Без категории
М
Мир-работы
Х
Хобби-и-рукоделие
И
Искусство-и-развлечения
В
Взаимоотношения
З
Здоровье
К
Кулинария-и-гостеприимство
Ф
Финансы-и-бизнес
П
Питомцы-и-животные
О
Образование
О
Образование-и-коммуникации
egorik2506
egorik2506
16.10.2020 22:45 •  Математика

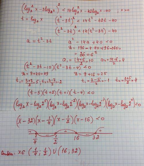
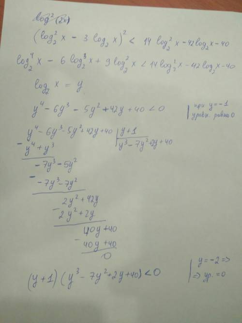
Решите неравенство (log^2(2)x-3log(2)x)^2< 14log^2(2)x-42log(2)x-40

👇
Ответ:
nariksalimov
nariksalimov
16.10.2020

....................


Решите неравенство (log^2(2)x-3log(2)x)^2< 14log^2(2)x-42log(2)x-40
4,5(41 оценок)
Ответ:
Qwer948
Qwer948
16.10.2020

Пошаговое объяснение:

ответ на фото//////////////


Решите неравенство (log^2(2)x-3log(2)x)^2< 14log^2(2)x-42log(2)x-40
Решите неравенство (log^2(2)x-3log(2)x)^2< 14log^2(2)x-42log(2)x-40
4,6(13 оценок)
Открыть все ответы
Ответ:
dashanovikova03
dashanovikova03
16.10.2020
Добрый день! Тема, которой мы займемся сегодня, называется "Вероятность". Ваш вопрос состоит в том, какова вероятность того, что из колоды карт на удачу, состоящей из 52 карт, извлекаются три карты (без возврата), и среди них не будет ни одной дамы. Для решения этой задачи мы воспользуемся правилом условной вероятности.

Давайте разберемся пошагово.

Шаг 1: определение общего числа исходов
Изначально в колоде 52 карты. Извлекаются три карты. Поэтому общее число исходов равно выбору трех карт из колоды по формуле сочетания:
nCr = n! / (r!(n-r)!)

Где n - общее число объектов (в данном случае карт в колоде), r - число выбираемых объектов (в данном случае трех карт).

nCr = 52! / (3!(52-3)!) = 22 100

Таким образом, общее число исходов равно 22 100.

Шаг 2: определение числа благоприятных исходов
Мы ищем случаи, когда среди выбранных трех карт не будет ни одной дамы. В колоде карт на удачу имеется 4 дамы - пиковая, червовая, трефовая и бубновая. Значит, у нас есть 48 карт, которые не являются дамами. В таком случае мы можем выбрать только из этих 48 карт.

Теперь мы можем использовать аналогичную формулу для числа благоприятных исходов. Так как мы выбираем три карты из 48 возможных, рассчитаем nCr:

nCr = 48! / (3!(48-3)!) = 17 296

Таким образом, число благоприятных исходов равно 17 296.

Шаг 3: вычисление вероятности
Теперь, когда у нас есть число благоприятных исходов и общее число исходов, мы можем вычислить вероятность. Вероятность равна отношению числа благоприятных исходов к общему числу исходов:

Вероятность = число благоприятных исходов / общее число исходов = 17 296 / 22 100

Выполнив данный расчет, получаем приближенное значение вероятности:

Вероятность = 0.78 (округленно до двух знаков после запятой)

Мы видим, что это не совпадает с ни с одним предложенным вариантом ответа, поэтому возможно, была допущена ошибка при расчетах или предложенные ответы некорректны. В таком случае, необходимо повторно проверить расчеты или использовать правильные ответы, если они доступны.

Помните, что математика иногда требует тщательности и внимательности, поэтому важно проверять свои расчеты, чтобы получить точный ответ.
4,5(94 оценок)
Ответ:
koblovalv
koblovalv
16.10.2020
Добрый день! Разберем вместе этот интересный вопрос.

Итак, в отчете говорится о двух лекарствах, которые испытывали на мужчинах и женщинах. Каждый человек, участвующий в испытаниях, принимал только одно лекарство.

1) Первое утверждение: "Общий процент людей, почувствовавших улучшение, больше среди принимавших лекарство А".

Для начала, давайте проясним, что означает "общий процент людей". "Общий процент" подразумевает сумму процентов мужчин и женщин, которые почувствовали улучшение. То есть, мы сравниваем общее количество мужчин и женщин между двумя группами: теми, кто принимал лекарство А, и теми, кто принимал лекарство Б.

Теперь давайте предположим, что общий процент людей, почувствовавших улучшение, действительно больше среди принимавших лекарство А. Это означает, что суммарный процент положительного результата (улучшение) среди всех мужчин и женщин, принимавших лекарство А, больше, чем среди всех мужчин и женщин, принимавших лекарство Б.

2) Второе утверждение: "Процент мужчин, почувствовавших улучшение, больше среди мужчин, принимавших лекарство Б".

Это утверждение говорит о проценте мужчин, которые почувствовали улучшение, и сравнивает его между двумя группами мужчин: теми, кто принимал лекарство А, и теми, кто принимал лекарство Б.

Предположим, что процент мужчин, почувствовавших улучшение, действительно больше среди мужчин, принимавших лекарство Б. Это означает, что среди мужчин, принимавших лекарство Б, больше людей почувствовало улучшение, чем среди мужчин, принимавших лекарство А.

3) Третье утверждение: "Процент женщин, почувствовавших улучшение, больше среди женщин, принимавших лекарство Б".

Это утверждение аналогично второму, но теперь мы сравниваем процент женщин, которые почувствовали улучшение, между двумя группами женщин: теми, кто принимал лекарство А, и теми, кто принимал лекарство Б.

Теперь давайте попытаемся объяснить, возможно ли такое сравнение процентов в отчете о испытаниях.

Если общий процент людей, почувствовавших улучшение, больше среди принимавших лекарство А, то это означает, что среди всех мужчин и женщин, принимавших лекарство А, было больше людей, почувствовавших улучшение, чем среди всех мужчин и женщин, принимавших лекарство Б.

Однако, если процент мужчин, почувствовавших улучшение, больше среди мужчин, принимавших лекарство Б, и процент женщин, почувствовавших улучшение, больше среди женщин, принимавших лекарство Б, то это может быть объяснено другими факторами, а не влиянием самих лекарств.

Например, одна из возможных причин таких различий может быть в разных начальных состояниях здоровья мужчин и женщин. Может быть, что мужчины, принимавшие лекарство Б, были в начальном состоянии здоровья хуже, чем мужчины, принимавшие лекарство А, и поэтому у них было больше возможностей для улучшения. Аналогичная ситуация может быть и с женщинами.

Также можно предположить, что реакция на лекарство может отличаться в зависимости от пола, а может и нет. Это требует дополнительного анализа и дополнительных исследований.

Итак, чтобы ответить на вопрос, возможно ли такое сравнение процентов в отчете об испытаниях, нужно учитывать множество факторов, включая начальное состояние здоровья людей, возможные различия в реакции на лекарство между мужчинами и женщинами, а также исключение других влияющих факторов. Поэтому, чтобы получить более точную информацию, необходимо провести дополнительные исследования и анализ данных.

Надеюсь, ответ был понятным и полезным. Если у вас возникнут еще вопросы, не стесняйтесь задавать!
4,7(72 оценок)
Это интересно:
Новые ответы от MOGZ: Математика
logo
Вход Регистрация
Что ты хочешь узнать?
Спроси Mozg
Открыть лучший ответ