М
Молодежь
К
Компьютеры-и-электроника
Д
Дом-и-сад
С
Стиль-и-уход-за-собой
П
Праздники-и-традиции
Т
Транспорт
П
Путешествия
С
Семейная-жизнь
Ф
Философия-и-религия
Б
Без категории
М
Мир-работы
Х
Хобби-и-рукоделие
И
Искусство-и-развлечения
В
Взаимоотношения
З
Здоровье
К
Кулинария-и-гостеприимство
Ф
Финансы-и-бизнес
П
Питомцы-и-животные
О
Образование
О
Образование-и-коммуникации
рома1342
рома1342
09.09.2020 18:17 •  Математика

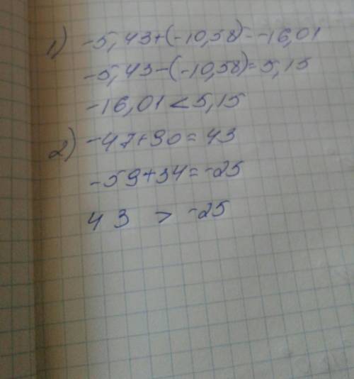
5. не выполняя вычислений сравните: 1) сумму чисел -5,43 и (-10,58) и их разность; 2) сумму чисел –47 и 90 и сумму чисел –59 и 34. обоснуйте ответы.

👇
Ответ:
valeriya309
valeriya309
09.09.2020

надеюсь, что Удачи тебе в Учёбе!


5. не выполняя вычислений сравните: 1) сумму чисел -5,43 и (-10,58) и их разность; 2) сумму чисел –4
4,4(83 оценок)
Открыть все ответы
Ответ:
вика3878
вика3878
09.09.2020
"Дикая собака Динго"
Побывав на отдыхе в детском лагере,друзья Таня и Филька,возвращаютя домой.УТани есть мечта- дикая австралийская собака Динго,за это она и получит впоследствии прозвище Динго.
А Филька от отца получил в подарок лаек.Девочка болезнено воспринимает эту новость,ведь ее отец ушел из семьи когда она была еще маленькой.Чуть позже она находит письмо,в котором отец сообщил о переезде в их город его семьи.Таня испытывает ненависть к ним,несмотря на слова матери,о том что они хорошие люди.Таня пошла встречать отца в порт,но не увидев его среди приехавщих,отдает цветы больному мальчику,не подозревая,что это и есть приемный сын ее отца(Коля).Он попадает в класс,что и Таня с Филькой.Таня все время провоцирует Колю и они постоянно ссорятся.Чуть позже Таня понимает,что она испытывает к Коле особые чувства,а Филька очень глубоко переживает,ведь он влюблен в Таню.Тогда Филя решается на обман.Он сказал Тане,что Коля идет на каток с другой одноклассницей(Женей),а Коле сказал что идет с Таней на спектакль.Увидев их на катке,Таня принимает решение забыть Колю,но начавщийся буран,изменил планы девочки.Она берет собачью упряжку и спешит на Коле.Все заканчивается благополучно,их находят пограничники,предупрежденные Филькой.На Таню ополчается весь класс,думая что она хотела погубить Колю,позвав его на каток,ее даже хотели исключить из пионеров,тогда Филька признается в своем обмане.
Мать Тани увидев,что происходит,предлагает дочери уехать в другой город.На последней встрече,Коля признается Тане в любви,и пути их расходятся навсегда
4,8(85 оценок)
Ответ:
korolovk
korolovk
09.09.2020
Сначала была выработка x единиц продукции.
После 1 года снизилась в 4 раза, стала 0,25x.
После 2 года выросла на 44% от нового значения, стало
1,44*0,25x = 0,36x. Общее снижение составило 64%.
Среднее ежегодное снижение - это как будто каждый год выработка снижалась на одинаковое количество n%.
x*(1 - n/100)^2 = 0,36x
Делим все на x и раскрываем скобки
1 - 2n/100 + n^2/10000 = 36/100
Умножаем все на 10000
n^2 - 200n + 10000 - 3600 = 0
n^2 - 200n + 6400 = 0
D/2 = 100^2 - 6400 = 10000 - 6400 = 3600 = 60^2
n1 = 100 - 60 = 40
n2 = 100 + 60 = 160 > 100 - не подходит.
ответ: среднее годовое снижение составило 40%.
4,5(35 оценок)
Это интересно:
Новые ответы от MOGZ: Математика
logo
Вход Регистрация
Что ты хочешь узнать?
Спроси Mozg
Открыть лучший ответ