М
Молодежь
К
Компьютеры-и-электроника
Д
Дом-и-сад
С
Стиль-и-уход-за-собой
П
Праздники-и-традиции
Т
Транспорт
П
Путешествия
С
Семейная-жизнь
Ф
Философия-и-религия
Б
Без категории
М
Мир-работы
Х
Хобби-и-рукоделие
И
Искусство-и-развлечения
В
Взаимоотношения
З
Здоровье
К
Кулинария-и-гостеприимство
Ф
Финансы-и-бизнес
П
Питомцы-и-животные
О
Образование
О
Образование-и-коммуникации
ziHerroy
ziHerroy
31.12.2022 17:21 •  Математика

Объясните, , не могу понять, как решить предел\lim_{x \to\ 2} \frac{x^{2}-2x }{\sqrt{x^{2} +6x } -4 }

👇
Ответ:
Коугар
Коугар
31.12.2022

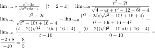
\lim_{x \to\ 2} \frac{x^{2}-2x }{\sqrt{x^{2} +6x } -4 }=[t=2-x]= \lim_{t \to 0} \dfrac{t^2-2t}{\sqrt{4-4t+t^2+12-6t}-4}=\\ \lim_{t \to 0} \dfrac{t^2-2t}{\sqrt{t^2-10t+16}-4}= \lim_{t \to 0} \dfrac{(t^2-2t)(\sqrt{t^2-10t+16}+4)}{t^2-10t+16-4^2}= \\ \lim_{t \to 0} \dfrac{(t-2)(\sqrt{t^2-10t+16}+4)}{t-10}=\dfrac{(0-2)(\sqrt{0^2-10*0+16}+4)}{0-10}=\\ \dfrac{-2*8}{-10}=\dfrac{8}{5}

4,8(20 оценок)
Открыть все ответы
Ответ:
Nastyмняша
Nastyмняша
31.12.2022

1

кролик крош собрал 16 съедобных грибов и 9 поганок. его друг ежик собрал 7 съедобных грибов, а несъедобных на 4 меньше чем съедобных грибов. сколько всего грибов собрали крош и ежик вместе, кто из них и на сколько собрал грибов больше?

решение:

1) 16 + 9 = 25 (всего грибов собрал крош)

2) 7 - 4 = 3 (несъедобных гриба собрал ежик)

3) 7 + 3 = 10 (всего грибов собрал ежик)

4) 25 + 10 = 35 (грибов собрали вместе)

5) 25 - 10 = 15 (больше собрал крош)

ответ: 35 грибов ежик и крош собрали вместе, крош собрал на 15 грибов больше чем ежик.

2

петя сорвал с одной яблони 12 яблок, а с другой 9. после того как он поделился с другом у него осталось 16. сколько яблок петя дал другу?

решение:

1) 12 + 9 = 21 (всего яблок сорвал петя)

2) 21 - 16 = 5

выражение: (12 + 9) - 16 = 5

ответ: петя дал другу 5 яблок.

3

в одном альбоме у саши было 8 марок, а в другом 7. ему подарили еще 8 марок. сколько марок стало у саши?

решение:

1) 8 + 7 = 15 (в двух альбомах было у саши)

2) 15 + 8 = 23

выражение: (8 + 7) + 8 = 23

ответ: у саши стало 23 марки.

4,6(24 оценок)
Ответ:
raxmatullin174
raxmatullin174
31.12.2022
Шалфей лекарственный l.-имя botanicum, "мудрец" - это имя pharmaceuticum. название мудреца от слова "salvere" образовалось. в медицине используются листья salviae essiccata. листья взрослого шалфея серо-зеленые, но листья молодых серебристо-белые. листья корень свежий эффект хороший bactericidum есть. листья собираются и эксикантурируются в воздухе или на огне. запах листьев, возможно, aromaticus есть вкус subamarus. все части растения масло воздушный (до 2,5%) и tannicas веществ, ursolicum кислоты содержат. трансляция из листьев exsiccatis корень для исправления adstringens, и внимание на условия работников и disinficiens для открытия gargarismatis и gutturis, для cataplasmatis прописал. листья шалфеев в вид pectorales включены. подготовлено "salvinum" добыча acetono из листьев корень подготовлены. раствор salvini spirituosa 0,1-0,25% времени готовят, в стоматологии применяют.
4,8(62 оценок)
Это интересно:
Новые ответы от MOGZ: Математика
logo
Вход Регистрация
Что ты хочешь узнать?
Спроси Mozg
Открыть лучший ответ