М
Молодежь
К
Компьютеры-и-электроника
Д
Дом-и-сад
С
Стиль-и-уход-за-собой
П
Праздники-и-традиции
Т
Транспорт
П
Путешествия
С
Семейная-жизнь
Ф
Философия-и-религия
Б
Без категории
М
Мир-работы
Х
Хобби-и-рукоделие
И
Искусство-и-развлечения
В
Взаимоотношения
З
Здоровье
К
Кулинария-и-гостеприимство
Ф
Финансы-и-бизнес
П
Питомцы-и-животные
О
Образование
О
Образование-и-коммуникации
DuRaDoN2017
DuRaDoN2017
27.01.2020 00:09 •  Математика

Найдите целые решение системы неравенств 12,3х -16,6≤7,1х+19,8,

👇
Ответ:
Asian28
Asian28
27.01.2020

12,3x-7,1x≤19,8+16,6

5,2x≤36,4

x=36,4:5,2

x=7

4,6(41 оценок)
Ответ:
Kirill7692
Kirill7692
27.01.2020
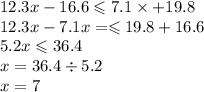
12.3x - 16.6 \leqslant 7.1 \times + 19.8 \\ 12.3x - 7.1x = \leqslant 19.8 + 16.6 \\ 5.2x \leqslant 36.4 \\ x = 36.4 \div 5.2 \\ x = 7
4,5(42 оценок)
Открыть все ответы
Ответ:
Анна0809
Анна0809
27.01.2020

ответ:1. Рассмотрим △OAR: ∠OAR = 90° (так как OA — высота), ∠AOR = 15° (по условию).

По теореме о сумме углов треугольника: сумма всех внутренних углов любого треугольника равна 180°. Тогда, для △OAR:

∠OAR + ∠ARO + ∠AOR = 180°;

90° + ∠ARO + 15° = 180°;

∠ARO = 180° - 90° - 15°;

∠ARO = 75°.

2. В прямоугольнике MRKH пары сторон MR и KN, MN и RK параллельны (по определению прямоугольника)

∠ARO = ∠ONK так как они являются накрест лежащими углами, образованными при пересечении параллельных прямых MR и KN секущей RN.

Таким образом, ∠ONK = 75°.

ответ Пошаговое объяснение:

1. Рассмотрим △OAR: ∠OAR = 90° (так как OA — высота), ∠AOR = 15° (по условию).

По теореме о сумме углов треугольника: сумма всех внутренних углов любого треугольника равна 180°. Тогда, для △OAR:

∠OAR + ∠ARO + ∠AOR = 180°;

90° + ∠ARO + 15° = 180°;

∠ARO = 180° - 90° - 15°;

∠ARO = 75°.

2. В прямоугольнике MRKH пары сторон MR и KN, MN и RK параллельны (по определению прямоугольника)

∠ARO = ∠ONK так как они являются накрест лежащими углами, образованными при пересечении параллельных прямых MR и KN секущей RN.

Таким образом, ∠ONK = 75°.

ответ

4,8(38 оценок)
Ответ:
kseniaksu1
kseniaksu1
27.01.2020
Х девочек всего в классе
у мальчиков всего в классе
1/3 от х = х/3 девочек участвовало в конкурсе
у/5  мальчиков участвовало в конкурсе
(х + у) всего учеников в классе
(х + у)/4  всего учеников  участвовало в конкурсе
Получаем уравнение
х/3 + у/5 = (х + у)/4
и неравенство
30< (x + y) < 40 
Решаем уравнение
Приведя к общему знаменателю 60, получим 
20х + 12у = 15*(х + у)
20х + 12у = 15х + 15у
20х - 15х = 15у - 12у
5х = 3у
х = 3у/5
Далее решаем подбора, где у/5 - целое число
При у₁ = 5  получаем х₁ = 3 , сумма 5 + 3 = 8, не удовлетворяет условию
 30< (x + y) < 40 
При у₂ = 10  получаем х₂ = 6 , сумма 10 + 6 = 16, не удовлетворяет условию
 30< (x + y) < 40 
При у₃ = 15  получаем х₃ = 9, сумма 15 + 9 = 24, не удовлетворяет условию
 30< (x + y) < 40 
При у₄ = 20  получаем х₄ = 12 , сумма 20 + 12 = 32,  удовлетворяет условию
 30< (x + y) < 40 
Значит, в классе 12 девочек и 20 мальчиков
20 - 12 = 8
ответ: в классе на 8 мальчиков больше, чем девочек. 
4,5(16 оценок)
Это интересно:
Новые ответы от MOGZ: Математика
logo
Вход Регистрация
Что ты хочешь узнать?
Спроси Mozg
Открыть лучший ответ