М
Молодежь
К
Компьютеры-и-электроника
Д
Дом-и-сад
С
Стиль-и-уход-за-собой
П
Праздники-и-традиции
Т
Транспорт
П
Путешествия
С
Семейная-жизнь
Ф
Философия-и-религия
Б
Без категории
М
Мир-работы
Х
Хобби-и-рукоделие
И
Искусство-и-развлечения
В
Взаимоотношения
З
Здоровье
К
Кулинария-и-гостеприимство
Ф
Финансы-и-бизнес
П
Питомцы-и-животные
О
Образование
О
Образование-и-коммуникации
Princesska88
Princesska88
08.09.2021 01:55 •  Русский язык

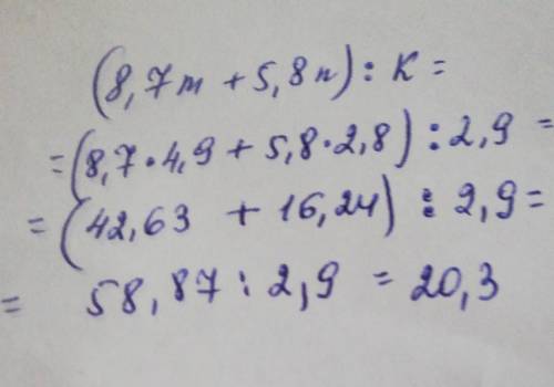
Найди значение выражения (8.7m+5.8n):k где m=4.9; n=2.8 и k=2.9 урок номер 4​

👇
Ответ:

Смотри решение на фото


Найди значение выражения (8.7m+5.8n):k где m=4.9; n=2.8 и k=2.9 урок номер 4​
4,5(15 оценок)
Открыть все ответы
Ответ:
09Sodlatov
09Sodlatov
08.09.2021

Я вышел из дому. Я был весел, счастлив  и беззаботен, я шел на свидание с милой девушкой, я  посвистывал и подпрыгивал, с удовольствием ощущая свою легкость и невесомость. Я завернул за угол и уже намеревался вскочить в проходящий мимо трамвай, как вдруг меня подхватил неведомо откуда взявшийся вихрь, закружил так, что я на мгновение потерял ориентироваться в пространстве. Меня несло, я кувыркался в воздухе, моя одежда слетала с меня. Вихрь нес меня все выше и выше, мне было трудно дышать, я беспорядочно размахивал в воздухе руками и что-то кричал. В конце концов я полностью потерял мыслить, отдался на волю вихря, и решил, что мне пришел конец. Но нет. Все окончилось так же внезапно, как и началось. Я пришел в себя и понял, что нахожусь в просторном помещении с большими круглыми окнами, закрытыми светло-зелеными жалюзи. Я сижу в мягком удобном кресле с подлокотниками, а вокруг парят в воздухе, не касаясь пола, существа, отдаленно напоминающие древних египтян с картинки из энциклопедии. Одно из них наклонилось надо мной и негромко проговорило:

вас, не волнуйтесь. Все будет хорошо. Вы участвуете в очень важном эксперименте. Мы – ученые, мы прилетели с планеты Эстарны, что на расстоянии десяти световых лет от вас. На нашей планете случилась большая беда – ее жители потеряли быть счастливыми. Наши приборы показали, что вы – счастливый человек, и мы просим вас нам. Всего одна капля вашей крови, из которой мы выделим эликсир счастья, позволит нам сделать лекарство и излечить наш народ.

Меня всегда тянуло кого-нибудь осчастливить, а тут речь шла о целом народе! Конечно же, я согласился. Небольшой укол в палец, капля крови упала в пробирку, вот и вся процедура.

Обратно меня спустили мягко и заботливо. Я оказался на той самой остановке трамвая, а мой трамвай уже звенел невдалеке. Я даже не опоздал на свидание. Позже, сидя с милой девушкой в кафе-мороженом, я рассказал ей эту историю со всеми подробностями.

- Фантазия не знает границ, - улыбнулась она и посмотрела на меня с большим интересом.

4,7(24 оценок)
Ответ:
pikuss
pikuss
08.09.2021
Удивительная птица этот воробей, и везде он одинаков – на севере Норвегии и на Азорских островах: юркий, плут, воришка, забияка, драчун, сплетник и первейший нахал. Проведет он всю зиму нахохлившись под застрехой или в глубине густой ели, питаясь тем, что найдет на дороге, а чуть весна – лезет в чужое гнездо, что поближе к дому – в скворечье или ласточкино. А выгонят его, он как ни в чем не бывало… Ерошится, прыгает, блестит глазенками и кричит на всю вселенную: «Жив, жив, жив! Жив, жив, жив!» Скажите какое приятное известие для мира!
4,6(16 оценок)
Это интересно:
Новые ответы от MOGZ: Русский язык
logo
Вход Регистрация
Что ты хочешь узнать?
Спроси Mozg
Открыть лучший ответ