М
Молодежь
К
Компьютеры-и-электроника
Д
Дом-и-сад
С
Стиль-и-уход-за-собой
П
Праздники-и-традиции
Т
Транспорт
П
Путешествия
С
Семейная-жизнь
Ф
Философия-и-религия
Б
Без категории
М
Мир-работы
Х
Хобби-и-рукоделие
И
Искусство-и-развлечения
В
Взаимоотношения
З
Здоровье
К
Кулинария-и-гостеприимство
Ф
Финансы-и-бизнес
П
Питомцы-и-животные
О
Образование
О
Образование-и-коммуникации
Katyyyp
Katyyyp
01.04.2022 20:59 •  Алгебра

Ть 16 зробити бо в мене щось не виходить

👇
Ответ:
liyakhakimova
liyakhakimova
01.04.2022

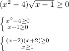
(x^{2} -4)\sqrt{x-1}\geq0\\\\\ \left \{ {{x^{2} -4\geq0 } \atop {x-1\geq0 }} \right.\\\\\left \{ {{(x-2)(x+2)\geq0 } \atop {x\geq1 }} \right.

    +                    -                        +

______[- 2]_________[2]_______

///////////////                       /////////////////

                              /////////////////////////

______________[1]____________

ответ : 1 ∪ [2 ; + ∞)

4,6(62 оценок)
Открыть все ответы
Ответ:
spaceman666
spaceman666
01.04.2022
Здесь опять есть нюанс, связанный с тем, что же все-таки мы считаем числителем и знаменателем новой дроби. Если мы новой дробью считаем дробь с числителем 2а+b и знаменателем a(a+b), то такая дробь несократима.

Предположим, противоположное, что 1/a+1/(a+b)=(2а+b)/(a(a+b)) сократима, т.е. 2а+b и a(a+b) делятся на некоторое простое число q.  Т.к. q - простое и произведение а(a+b) на него делится, то либо а, либо a+b делится на q.
1) Пусть a делится на q. В силу равенства b=(2a+b)-2a, получаем, что b тоже делится на q, а значит дробь a/b - сократима. Противоречие.
2) Если а+b делится на q, то в силу равенств
а=(2a+b)-(a+b) и b=2(a+b)-(2a+b), получаем, что а и b тоже делятся на q и дробь а/b сократима. Противоречие. Таким образом, дробь (2а+b)/(a(a+b)) несократима.
4,5(21 оценок)
Ответ:
dshvedova06
dshvedova06
01.04.2022
1
y=x²
1)x=2  y=4
2)x=-3/4  y=9/16
2
1)x²=9
x1=-3 U x2=3
(-3;9);(3;9)
2)x²=-x
x²+x=0
x(x+1)=0
x1=0⇒y1=0
x2=-1⇒y2=1
(0;0);(-1;1)
3
y=x²,вершина в точке (0;0)-точка минимума
у=0-наименьшее
у(-4)=16 наибольшее
(3)=9
х      -4      -3    -2    -1      0      1      2      3
у      16      9    4      1      0      1      4      9
по этим точкам строишь график
4
1)х²=х
Строишь параболу у=х² по таблице которая в №3
Строишь прямую у=х по точкам (0;0) и (1;1)
ответ (0;0);(1;1)
2)Строишь параболу у=х² по таблице которая в №3
Строишь прямую у=2х-1 по точкам (0;-1) и (1;1)
ответ (1;1)
5
y1=x² и у2=6х-5
Строишь параболу у=х² по таблице которая в №3
Строишь прямую у=6х-5 по точкам (0;-5) и (1;1)
ответ (5;0)4(1;1)
4,8(95 оценок)
Это интересно:
Новые ответы от MOGZ: Алгебра
logo
Вход Регистрация
Что ты хочешь узнать?
Спроси Mozg
Открыть лучший ответ