М
Молодежь
К
Компьютеры-и-электроника
Д
Дом-и-сад
С
Стиль-и-уход-за-собой
П
Праздники-и-традиции
Т
Транспорт
П
Путешествия
С
Семейная-жизнь
Ф
Философия-и-религия
Б
Без категории
М
Мир-работы
Х
Хобби-и-рукоделие
И
Искусство-и-развлечения
В
Взаимоотношения
З
Здоровье
К
Кулинария-и-гостеприимство
Ф
Финансы-и-бизнес
П
Питомцы-и-животные
О
Образование
О
Образование-и-коммуникации
natashasheh
natashasheh
22.03.2021 10:16 •  Алгебра

Снужно заполнить таблицу за ранее ​

👇
Ответ:
arinapretty
arinapretty
22.03.2021

Для первого:

S=\dfrac{a_1+a_n}{2}\times n\\= \boxed{n=\dfrac{2S}{a_1+a_n}}\\n=\dfrac{2\times 20}{7+3}=4\\\boxed{a_n=a_1+(n-1)d}\\=\boxed{d=\dfrac{a_n-a_1}{n-1}}\\d=\dfrac{3-7}{4-1}=-1\dfrac{1}{3}

Для второго:

S=\dfrac{2a_1+(n-1)d}{2}\times n\\d=\dfrac{2S-2a_1n}{n(n-1)}=\boxed{\dfrac{2(S-a_1n)}{n^2-n}}\\d=\dfrac{2(14-8\times 7)}{49-7}=-2\\S=\dfrac{a_1+a_n}{2}\times n\\\boxed{a_n=\dfrac{2S}{n}-a_1}\\a_n=\dfrac{2\times 14}{7}-8=-4

Для третьего:

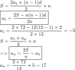
S=\dfrac{2a_1+(n-1)d}{2}\times n\\\boxed{a_1=\dfrac{2S-n(n-1)d}{2n}}\\a_1=\dfrac{2\times 72-12(12-1)\times 2}{2\times 12}=-5\\S=\dfrac{a_1+a_n}{2}\times n\\=\boxed{a_n=\dfrac{2S}{n}-a_1}\\a_n=\dfrac{2\times72}{12}+5=17

Для четвертого:

S=\dfrac{a_1+a_n}{2}\times n\\=\boxed{n=\dfrac{2S}{a_1+a_n}}\\n=\dfrac{2\times 77}{a_1+20}\\\boxed{a_n=a_1+(n-1)d}\\=20=a_1+(n-1)\times 3\\\left \{ {{n=\dfrac{2\times 77}{a_1+20}} \atop {20=a_1+(n-1)\times 3}} \right.\\=20=a_1+2\times \dfrac{154}{a_1+20}-3\\a_1=2\\a_1\ne1 (=n=\dfrac{22}{3})\\=a_1=2\\n=\dfrac{154}{2+20}=7

4,4(96 оценок)
Открыть все ответы
Ответ:
sashazhuravleva
sashazhuravleva
22.03.2021
(а+1)во 2 степени-(2а+3)во 2 степени=0
Нужно раскрыть скобки по формулам сокращенного умножения 
Сначала раскроем (а+1)во второй степени,получится 
а в квадрате +2а+1
Дальше рассмотрим оставшиеся,то есть -(2а+3)во второй степени
-(4а в квадрате +12а+9 )
Раскроем скобки и получится
-4а в квадрате -12а-9 
В итоге получилось 
а в квадрате +2а+1-4а в квадрате -12а-9 
Находим подобные и получается
-3 а в квадрате -10 а -8=0
Теперь решаем дискриминантом 
Д(дискриминант)=корню из четырех ,то есть двум
А1= -2 целые одна третья 
А2= -1

Второе уравнение решается аналогично 
25 с в квадрате +80с +64 -с в квадрате +20с-100=0
Что-бы было удобней вычитать Д сократим все на два,и получится
6с в квадрате+25с-9=0
Д=корень из 841 =29
С1=1/3
С2=11/3=3 целых 2/3
4,4(61 оценок)
Ответ:
арсений201
арсений201
22.03.2021
1) Закон перемены знаков.
значение дроби не изменится если изменить знаки на противоположные:
▪у числителя и знаменателя дроби
▪у числителя и у всей дроби
▪у знаменателя и у всей дроби

2) функция обратной пропорциональности -это функция заданная формулой:
▪у = к/х
▪где х - независимая переменная, а
▪к - число отличное от нуля.
Графиком обратной пропорциональности является гиппербола.
▪Свойства функции обратной пропорциональности:
1) область определения о.п. состоит из всех значений х, кроме 0.
2) область значений о.п. - все значения у, кроме 0.
3) функция обратной пропорциональности не имеет 0.
4) при к>0 ветви гипперболы расположены в 1 и3 координатных четвертях.
5) при к<0 ветви гипперболы расположены в 2 и4 координатных четвертях.

3) ▪Действительными числами называют рациональные и иррациональные числа вместе . Множество действительных чисел образуют положительные, отрицательные, рациональные и иррациональные числа. Множество всех действительных чисел обозначают буквой R.
▪Рациональные числа - это все числа, которые могут быть представлены в виде обыкновенной дроби. Множество рациональных чисел обозначают буквой Q.
▪Иррациональные числа - это числа которые не являются рациональными числами, т.е. которые нельзя представить в виде дроби.
Иррациональное число может быть представленно ввиде бесконечной непериодической десятичной дроби.
4,6(72 оценок)
Новые ответы от MOGZ: Алгебра
logo
Вход Регистрация
Что ты хочешь узнать?
Спроси Mozg
Открыть лучший ответ