![1)\; \; y=\frac{1}{x^2-7x+6}\; \; \to \; \; y=\frac{1}{(x-1)(x-6)} \; \; ,\; \; x\ne 1\; ,\; x\ne 6\\\\D(y)=(-\infty ,1)\cup(1,6)\cup (6,+\infty )\\\\b)\; \; y=\sqrt[5]{1-7x}\; \; ,\; \; D(y)=R\\\\c)\; \; y=\sqrt[6]{x^2-121}\; \; \to \; \; \; y=\sqrt[6]{(x-11)(x+11)}\; \; ,\; \; (x-11)(x+11)\geq 0\; ,\\\\D(y)=(-\infty ,-11]\cup [11,+\infty )\\\\d)\; \; y=2\, cos3x\; \; ,\; \; D(y)=R\\\\e)\; \; y=log_2(9x^2-3x)\; \; ,\; \; 9x^2-3x0\; \; ,\; \; 3x(3x-1)0\; ,\\\\znaki:\; \; \; +++(0)---(\frac{1}{3})+++\\\\D(y)=(-\infty ,0)\cup(\frac{1}{3},+\infty )](/tpl/images/1024/8141/bde19.png)
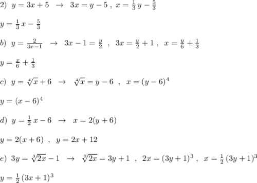
![2)\; \; y=3x+5\; \; \to \; \; 3x=y-5\; ,\; x=\frac{1}{3}\, y-\frac{5}{3}\\\\y=\frac{1}{3}\, x-\frac{5}{3}\\\\b)\; \; y=\frac{2}{3x-1}\; \; \to \; \; 3x-1=\frac{y}{2}\; \; ,\; \; 3x=\frac{y}{2}+1\; ,\; \; x=\frac{y}{6}+\frac{1}{3} \\\\y=\frac{x}{6}+\frac{1}{3}\\\\c)\; \; y=\sqrt[4]{x}+6\; \; \to \; \; \sqrt[4]{x}=y-6\; \; ,\; \; x=(y-6)^4\\\\y=(x-6)^4\\\\d)\; \; y=\frac{1}{2}\, x-6\; \; \to \; \; x=2(y+6)\\\\y=2(x+6)\; \; ,\; \; y=2x+12\\\\e)\; \; 3y=\sqrt[3]{2x}-1\; \; \to \; \; \sqrt[3]{2x}=3y+1\; \; ,\; \; 2x=(3y+1)^3\; ,\; \; x=\frac{1}{2}\, (3y+1)^3\\\\y=\frac{1}{2}\, (3x+1)^3](/tpl/images/1024/8141/e51c0.png)
Х² + 9х = 0
I.Рациональный решения.
Вынести общий множитель за скобку:
х * (х + 9 ) = 0
Произведение = 0 , если один из множителей =0.
х₁= 0
х + 9=0
х₂= -9
II. Решение через дискриминант [ D= b² -4ac ]
Стандартный вид квадратного уравнения:
х² + 9х + 0 =0
а = 1 ; b= 9 ; с = 0
D = 9² - 4*1*0 = 9²
D>0 - два корня уравнения [ х₁,₂ = (-b ⁺₋ √D)/2a ) ]
х₁ = ( - 9 + √9²) /(2*1) = (-9 + 9)/2 = 0/2 = 0
x₂ = ( - 9 - √9²) /(2*1) = (-9 - 9)/2 = -18/2 = - 9
ответ: ( - 9 ; 0 ) .
Объяснение:






, то произведение корней так же число радикальное , откуда с последних двух идет верное равенство