4x²-12xy+9y²=(2x)²-2*2x*3y+(3y)²=(2x-3y)² -4a²+4ab-b²=-(4a²-4ab+b²)=-(2a-b)² x²-y²-6x+9=x²-6x+9-y²=(x-3)²-y²=(x-3-y)(x-3+y) (a+3)²-27=a²+6a-18 (у вас здесь, видимо, опечатка, т.к. разложение на множители не получается) (a-7)³+8=(a+9)(a²+12a+39) Уравнения: 16х²-25=0 (скорее всего здесь должен быть минус, т.к. если плюс - то решений нет) (4х-5)(4х+5)=0 4х-5=0 4х+5=0 4х=5 4х=-5 х=1.25 х=-1.25 ответ: х1=1.25, х2=-1.25 (3х-5)²-16=0 (3х-5-16)(3х-5+16)=0 (3х-21)(3х+11)=0 3х-21=0 3х+11=0 3х=21 3х=-11 х=7 х=-1/3 ответ: х1=7, х2=-1/3 Убедительная присвойте этот ответ в качестве лучшего!
Нужно разделить это уравнение на два: 1) у=-(х-2)^2+6- линейная функция,график-парабола,полученная путем параллельного переноса графика функции у= -х^2 вправо вдоль оси Ох на 2 единичных отрезка и вверх вдоль оси Оу на 6 единичных отрезков 2) у=(х-3)^3+1 -линейная функция,грфик-кубическая парабола,полученная путем сдвига графика функции у=х^3 вправо вдоль оси Ох на 3 единичных отрезка и вверх вдоль оси Оу на 1 единичный отрезок 3) построить эти графики и найти точки пересечения. Они и будут ответом
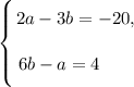
Сделаем следующую замену:
 и получим систему уравнений: 
Сделаем обратную замену:
Следовательно,
ответ:
.