Вход
Регистрация
Спроси Mozg AI
М
Молодежь
К
Компьютеры-и-электроника
Д
Дом-и-сад
С
Стиль-и-уход-за-собой
П
Праздники-и-традиции
Т
Транспорт
П
Путешествия
С
Семейная-жизнь
Ф
Философия-и-религия
Б
Без категории
М
Мир-работы
Х
Хобби-и-рукоделие
И
Искусство-и-развлечения
В
Взаимоотношения
З
Здоровье
К
Кулинария-и-гостеприимство
Ф
Финансы-и-бизнес
П
Питомцы-и-животные
О
Образование
О
Образование-и-коммуникации
.....больше.....
..меньше..
aurantiuma
27.05.2022 14:46 •
Алгебра
Найдите критические точки функции
👇
Увидеть ответ
Ответ:
света940
27.05.2022
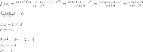
Критические точки — корни уравнения: f'(x) =0
ответ: -3; 1; -1
4,7
(2 оценок)
Открыть все ответы
Ответ:
АкулинаДак
27.05.2022
1) f'(x) = 1/√((1-2x)/(1+2x)) * (1/2√(1-2x)/(1+2x))* ((1-2x)/(1+2x))'=
= 1/√((1-2x)/(1+2x)) * (1/2√(1-2x)/(1+2x))*(-2)(1+2x)-2(1-2x)/(1+2х)²=
= 1/√((1-2x)/(1+2x)) * (1/2√(1-2x)/(1+2x))* (-2-4х-2 +4х)/(1+2х)²=
=- 1/√((1-2x)/(1+2x)) * (1/2√(1-2x)/(1+2x))*4/(1+2х)²
2)у = √х*Cosx
y'=1/2√x*Cosx - √x*Sinx
3) f(x) = e^Sin4x
f'(x) = e^Sin4x * Cos4x*4
f'(0)= e^0*Cos0*4 = 1*1*4 = 4
4) f(x) (3x-4)*ln(3x-4)
f'(x) =3*ln(3x-4) + (3x-4)*3/(3x-4)= 3ln(3x-4) +3
5)f(x)=5^lnx
f'(x) = 5^lnx*1/x*ln5
6) f(x) = Ctg(2x + π/2) + (x-π²)/х = -tg2x + (x-π²)/х
f'(x) = -2/Cos²2x + (x - x + π²)/х² = -2/Cos² 2x + π²/x²
f'(π/12) = -2/Сos² π/6 + π²/π/12 = -3/2 + 12π
4,5
(2 оценок)
Ответ:
VadimMin
27.05.2022
|x²-2x-3|>3x-3
1. x²-2x-3 >0 корни 3 и -1 x²-2x-3>3x-3→x²-5x=x(x-5)>0
-1 3 x∈(-∞;-1]∨[3;∞)
+ - +
0 5 x∈(-∞;0)∨(5;∞) итог х∈(-∞;-1)∨(5;∞)
+ - +
2. x²-2x-3<0 → x∈(-1;3)
-x²+2x+3>3x-3 →x²+x-6<0 корни -3 и 2
-3 2 итог х∈(-1, 2)
+ - +
ответ x∈(-∞;2)∨(5;∞)
второе задание решается так же.
задание 3
x²- |5x-6|^-3/2=x²-1/√(|5x-6|³) функция определена при всех натуральных х и наименьшего нет.
4,7
(54 оценок)
Это интересно:
14.02.2020
Как быть честным(ой)?...
К
Компьютеры-и-электроника
03.09.2020
Как стать специалистом в Microsoft Excel: советы от эксперта...
З
Здоровье
14.05.2022
Как увеличить уровень тромбоцитов в крови...
З
Здоровье
20.06.2022
Как восстановиться после операции на ступне...
Х
Хобби-и-рукоделие
22.09.2021
Как сделать игрушечный лук и стрелы: руководство...
Д
Дом-и-сад
16.06.2020
Как правильно заполнить бассейн: шаг за шагом...
К
Компьютеры-и-электроника
08.06.2020
Как изменить свой профиль в Pinterest: подробное руководство с шагами...
Д
Дом-и-сад
27.10.2020
Как побелить мебель: простые способы обновления старых вещей...
К
Компьютеры-и-электроника
29.03.2023
Как восстановить документ Word: готовые решения для всех случаев...
П
Питомцы-и-животные
02.01.2021
Как приучить щенка к его имени: основные правила и эффективные методы...
Новые ответы от MOGZ: Алгебра
dendeniska228
26.06.2022
Разложите на множители 15a+5ay...
рамазан115
13.05.2021
Известно, что A(x)=2,5(4−2x); B(x)=5,5−3,1(3−5x). Найдите значения переменной, которое удовлетворяет равенству, предварительно записав получающиеся уравнения: A(x)=B(x) 2A(x)=B(x)...
Daniilkv
15.02.2023
Решить через теорему виета c²+2c-8=0, x²+x-20=0, z²-2x-15=0, t²+9t-10=0...
twopizzanumberone
13.06.2020
Вынесите общий множитель за скобки: -7х+ах. 14ab+21a....
viktoria050504
11.02.2022
На тарілці лежать 5 шматочків торта і 8 тістечок. Скількома можна вибрати один шматочок торта або одне тістечко? за повну відповідь ів...
sashaopalko123
11.05.2021
АЛГЕБРА 7 КЛАСС. Построить график уравнения 1) 0,5=2 2)Найти три произвольных решения уравнения х-у=10 3)постойте график уравнения 2х-у=4...
AnastasiyaSm
24.09.2021
На столі лежать 3 білі, 4 сині та 5 зелених карток. Яка ймовірність того, що перша навмання вибрана картка буде синьою?...
JackDead
11.03.2020
это очень Число -1/3 є коренем квадратного рівняння х²-2/3х-a/2=0. Знайдіть а...
ДарьяРэя
09.06.2021
Решить тригонометрические неравенства, каждый шаг с пояснением, т.к это и затруднило в самостоятельном решении: какой знак, откуда, как и т.д! максимальное кол-во ! а) sin²x + 1/2...
hellobro55555555555
09.12.2022
Один из острых углов прямоугольного треугольника 1) на 52 2) в 5 больше другого. найти углы...
MOGZ ответил
Мəтіндегі негизги жəне қосымша ақпаратты табу керек...
Найти координату точки M-середины отрезка BC, если B(21), а C(-35)...
Прочитай связывая слова в предложениях...
4. Составьте задачу по схеме. Дубки Лесное 6 км/ч , 5 км/ч 75 км 2 км ответьте на...
В каком году был освоен город Акмола???...
Задание 1 Вопрос: Как называется наука, изучающая по памятникам материальной культуры?...
Среди чисел,которыебольше 4296 но меньше 4318,укажитечисла которые делятся на 10...
Решите ребус АГ+ВГ=АГГ. Какая цифра соответствует букве А? как это решается...
-,что является Генеральной совокупность ? -В чем особенность вариационного ряда?...
Человек семьей крепок Укажите морфологические и синтаксические признаки прилагательного...
Полный доступ к MOGZ
Живи умнее Безлимитный доступ к MOGZ
Оформи подписку
О НАС
О нас
Блог
Условия пользования
Авторское право
Политика конфиденциальности
Предпочтения cookie-файлов
ПОМОЩЬ
Зарегистрируйся
Центр помощи
Центр безопасности
App
Вход
Регистрация
Что ты хочешь узнать?
Спроси Mozg
Открыть лучший ответ
ответ: -3; 1; -1