М
Молодежь
К
Компьютеры-и-электроника
Д
Дом-и-сад
С
Стиль-и-уход-за-собой
П
Праздники-и-традиции
Т
Транспорт
П
Путешествия
С
Семейная-жизнь
Ф
Философия-и-религия
Б
Без категории
М
Мир-работы
Х
Хобби-и-рукоделие
И
Искусство-и-развлечения
В
Взаимоотношения
З
Здоровье
К
Кулинария-и-гостеприимство
Ф
Финансы-и-бизнес
П
Питомцы-и-животные
О
Образование
О
Образование-и-коммуникации
Виктория6789045
Виктория6789045
29.05.2022 01:35 •  Алгебра

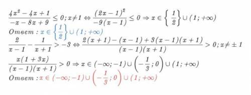
Решите неравенства методом интервалов  \frac{4x {}^{2} - 4x + 1 }{ - x - 8x + 9} \leqslant 0 \frac{2}{x - 1} - \frac{1}{x + 1} > - 3

👇
Ответ:

Объяснение:

.................................


Решите неравенства методом интервалов [tex] \frac{4x {}^{2} - 4x + 1 }{ - x - 8x + 9} \leqslant 0[/t
4,8(79 оценок)
Открыть все ответы
Ответ:
nastja2011i
nastja2011i
29.05.2022

 https://www.kontrolnaya-rabota.ru/s/equal-many/system-any/?ef-TOTAL_FORMS=52&ef-INITIAL_FORMS=2&ef-MIN_NUM_FORMS=0&ef-MAX_NUM_FORMS=1000&ef-0-s=11x%5E2-7x-10%3Dx%5E2%2B9x-2&ef-1-s=&ef-2-s=&ef-3-s=&ef-4-s=&ef-5-s=&ef-6-s=&ef-7-s=&ef-8-s=&ef-9-s=&ef-10-s=&ef-11-s=&ef-12-s=&ef-13-s=&ef-14-s=&ef-15-s=&ef-16-s=&ef-17-s=&ef-18-s=&ef-19-s=&ef-20-s=&ef-21-s=&ef-22-s=&ef-23-s=&ef-24-s=&ef-25-s=&ef-26-s=&ef-27-s=&ef-28-s=&ef-29-s=&ef-30-s=&ef-31-s=&ef-32-s=&ef-33-s=&ef-34-s=&ef-35-s=&ef-36-s=&ef-37-s=&ef-38-s=&ef-39-s=&ef-40-s=&ef-41-s=&ef-42-s=&ef-43-s=&ef-44-s=&ef-45-s=&ef-46-s=&ef-47-s=&ef-48-s=&ef-49-s=&ef-50-s=&ef-51-s=

Объяснение:ЭТО ССЫЛКА НА РЕШЕНИЕ

УДАЧИ

4,6(47 оценок)
Ответ:
vladshumigayoypa3u
vladshumigayoypa3u
29.05.2022

<> [ Здравствуйте, Dodododpdododp! ] <>

- - - -

<> [ • ответ и Объяснение: ] <>

- - - -

<> [ Нет, Вы не правы. Оно не имеет бесконечное множество решений. Потому что: ] <>

- - - -

<> [ • (x, y) = (0, 1) ] <>

- - - -

<> [ А теперь, если Вы не верите, то мы можем даже и проверить, является ли упорядоченная пара чисел выше решением системы уравнений: ] <>

- - - -

{ 0 + 1 = 1

{

{ 0 + 4 x 1 = 4

- - - -

<> [ А у мы это так: ] <>

- - - -

{ 1 = 1

{

{ 4 = 4

- - - -

<> [ Итог: Упорядоченная пара чисел является решением системы уравнений, так как оба равенства верны. ] <>

- - - -

<> [ С уважением, Hekady! ] <>

4,7(90 оценок)
logo
Вход Регистрация
Что ты хочешь узнать?
Спроси Mozg
Открыть лучший ответ