М
Молодежь
К
Компьютеры-и-электроника
Д
Дом-и-сад
С
Стиль-и-уход-за-собой
П
Праздники-и-традиции
Т
Транспорт
П
Путешествия
С
Семейная-жизнь
Ф
Философия-и-религия
Б
Без категории
М
Мир-работы
Х
Хобби-и-рукоделие
И
Искусство-и-развлечения
В
Взаимоотношения
З
Здоровье
К
Кулинария-и-гостеприимство
Ф
Финансы-и-бизнес
П
Питомцы-и-животные
О
Образование
О
Образование-и-коммуникации
ЛизаБугакова
ЛизаБугакова
30.11.2020 18:08 •  Алгебра

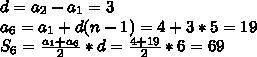
Найдите сумму шести членов арифметической прогрессии: 4; 7; 10; 13

👇
Ответ:
моюр
моюр
30.11.2020

S6=69

---------------------


Найдите сумму шести членов арифметической прогрессии: 4; 7; 10; 13
4,8(84 оценок)
Открыть все ответы
Ответ:
dariak98
dariak98
30.11.2020
Школьные Знания.com

Задай вопрос из школьного предмета
5 - 9 классыМатематика 5+3 б

Фермер собрал 8,5 ц яблок и 20 ц картофеля.На хранение он положил 80 % собранных яблок и 30 % собранного картофеля,а остальное продал.Чего он продал больше: яблок или картофеля?На сколько центнеров?

Реклама

Следить Отметить нарушение Rustam1024 19.05.2013
ответы и объяснения

ЛУЧШИЙ ОТВЕТ!
Yurvaz
Yurvaz Почетный грамотей
1) 100% - 8,5 ц - 850 килограмм

80% - ? ц

Найдём:

850*80/100=680килограмм (6,8 центнеров) - на хранение яблок.

2) 100% - 20 ц - 2000 килограмм

30% - ? ц

Найдём:

2000*30/100=600 килограмм (6 центнеров) - на хранении картофеля.

3) 8,5-6,8=1,7(ц.) - продал яблок.

4) 20-6=14(ц.) - продал картофеля.

5) 14-1,7=12,3 - разница.

ответ: он продал на 12,3 центнера больше картофеля, чем яблок.
4,5(49 оценок)
Ответ:
санс
санс
30.11.2020
15(а+2) = 6(2а + 7)
15а + 15*2  = 6 * 2а + 6*7
15а + 30  = 12а + 42
15а - 12а = 42 - 30
3а = 12
а = 12:3
а= 4
проверка:
15(4 + 2) = 6(2*4 + 7 )
15 * 6  =  6  *15
90=90

3х =6/7
х= 6/7  : 3 = 6/7  * 1/3 
х= 2/7
проверка:
3  *  2/7  = 3/1  * 2/7  = 6/7

7у  + 4,9  = 0
7у  =  - 4,9
у=  - 4,9 : 7
у= - 0,7
проверка:
7 * (-0,7)  + 4,9   =  - 4,9  + 4,9  = 0

1,5  - 3z= 6  - 5.5z
-3z  + 5.5z  =  6 - 1.5
2.5z  = 4,5
z = 4,5 : 2,5
z = 1,8
проверка:
1,5  - 3*1,8   = 6  - 5,5 * 1,8
1,5  -  5,4  =  6  -  9,9
- 3,9  = -3,9

2(3х - 2) = 3(8 - 2х)
6х  -  4  = 24  - 6х
6х  + 6х = 24  + 4
12х = 28
х = 28/12  = 7/3
х = 2 целых  1/3
проверка:
2 ( 3  * (7/3)  - 2)  = 3(8  -  2  *  (7/3))
2 * ( 7  -  2)  = 3(24/3    -  14/3)
2 * 5    =  3   *  (10/3)
10  = 10

|x  - 4|  = 10
x  - 4  = 10
x =  10  + 4
x₁ = 14
x  - 4  =  - 10
x =  - 10 + 4
x₂ =  - 6
проверка:
| 14  - 4 | = 10
| - 6  - 4|  = | - 10|  = 10
4,7(45 оценок)
Новые ответы от MOGZ: Алгебра
logo
Вход Регистрация
Что ты хочешь узнать?
Спроси Mozg
Открыть лучший ответ