М
Молодежь
К
Компьютеры-и-электроника
Д
Дом-и-сад
С
Стиль-и-уход-за-собой
П
Праздники-и-традиции
Т
Транспорт
П
Путешествия
С
Семейная-жизнь
Ф
Философия-и-религия
Б
Без категории
М
Мир-работы
Х
Хобби-и-рукоделие
И
Искусство-и-развлечения
В
Взаимоотношения
З
Здоровье
К
Кулинария-и-гостеприимство
Ф
Финансы-и-бизнес
П
Питомцы-и-животные
О
Образование
О
Образование-и-коммуникации
АннаЛютинго
АннаЛютинго
08.04.2022 04:59 •  Алгебра

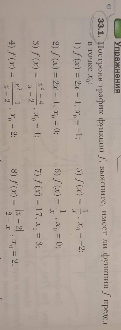
Решите все.
мне матан не дан))​


Решите все. мне матан не дан))​

👇
Открыть все ответы
Ответ:
Jek15
Jek15
08.04.2022

По построению треугольник АBH прямоугольный , следовательно угол Н= 90 градусов,угол А= 60 по условию, угол В= 30 по условию, что сумма углов треугольника равна 180 градусов. Так как ВА является гипотенузой и по условию равна 8 см, можно найти катеты треугольника : ВН=ВА*cos30 или ВН=ВА*sin60 ,а катет АН=AB*sin30  или AH=AB*cos60

ВН=8*cos30=8*0,86=6,88 см

АН=8*sin30=8*0,5=4 см

так как по условию АН=АD=4 cм, тогда АD=8 cм, а так как трапеция прямоугольная и ВН-высота, то DH=CB= 4 cм

площадь трапеции равна S= (a+b): 2 * h= (4+8):2*6.88=41,28 см2

Площадь трапеции равна 41,28 см2

4,4(63 оценок)
Ответ:
lejaqw
lejaqw
08.04.2022
1) 43*2=86 (руб.) - стоит 4 альбома и 2 ластика (2 альб.*2+1 ласт.*2)
2) 86-66=20 (руб.) - стоит альбом (4 альб. + 2 ласт. - 3 альб.-2 ласт.)
3) 20*2=40 (руб.) - стоят два альбома.
4) 43-40=3 (руб.) - стоит один ластик.
ОТВЕТ: стоимость альбома 20 рублей, стоимость ластика 3 рубля.


Пусть х рублей - цена альбома, а ластик стоит у рублей.
Тогда, 3х+2у=66 (первое уравнение)
2х+у=43 (второе уравнение).
Составим и решим систему уравнение (методом сложения):
\left \{ {{3x+2y=66} \atop {2x+y=43}} \right.
(умножим второе уравнение на -2)
\left \{ {{3x+2y=66} \atop {-4x-2y=-86}} \right.
=(3х+(-4х)) + (2у+(-2у))=66+(-86)
-х=-20
х=20 (руб.) - стоимость альбома.
2х+у=43
2*20+у=43
у=43-40
у=3 (руб.) - стоимость ластика.
ОТВЕТ: стоимость альбома 20 рублей, стоимость ластика 3 рубля.
4,8(10 оценок)
Это интересно:
Новые ответы от MOGZ: Алгебра
Полный доступ к MOGZ
Живи умнее Безлимитный доступ к MOGZ Оформи подписку
logo
Вход Регистрация
Что ты хочешь узнать?
Спроси Mozg
Открыть лучший ответ