
ответ: х=4 ; у=5
1) стороны прямоугольника a₁ = 1 см b₁ = 13 см
2) стороны прямоугольника a₂ = 6 см b₂ = 8 см
Объяснение:
а - меньшая сторона прямоугольника
b - большая сторона прямоугольника
2a + 2b = 28 - периметр прямоугольника
а + b = 14
b = 14 - a (1)
ab - площадь прямоугольника
а² - площадь квадрата
ab - a² = 12 (2)
Подставим (1) в (2)
а · (14 - а) - а² = 12
14а - а² - а² = 12
2а² - 14а + 12 = 0
а² - 7а + 6 = 0
D = 7² - 4 · 6 = 25
√D = 5
a₁ = 0.5(7 - 5) = 1 (см) b₁ = 14 - 1 = 13 (см)
a₂ = 0.5(7 + 5) = 6 (см) b₂ = 14 - 6 = 8 (см)
1) стороны прямоугольника a₁ = 1 см b₁ = 13 см
2) стороны прямоугольника a₂ = 6 см b₂ = 8 см
Объяснение:
а - меньшая сторона прямоугольника
b - большая сторона прямоугольника
2a + 2b = 28 - периметр прямоугольника
а + b = 14
b = 14 - a (1)
ab - площадь прямоугольника
а² - площадь квадрата
ab - a² = 12 (2)
Подставим (1) в (2)
а · (14 - а) - а² = 12
14а - а² - а² = 12
2а² - 14а + 12 = 0
а² - 7а + 6 = 0
D = 7² - 4 · 6 = 25
√D = 5
a₁ = 0.5(7 - 5) = 1 (см) b₁ = 14 - 1 = 13 (см)
a₂ = 0.5(7 + 5) = 6 (см) b₂ = 14 - 6 = 8 (см)
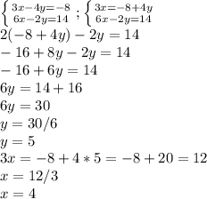
3x-4y=-8
-3x+y=-7
-3y=-15
y=5
3x-4*5=-8
x=4
(x=4;y=5)