М
Молодежь
К
Компьютеры-и-электроника
Д
Дом-и-сад
С
Стиль-и-уход-за-собой
П
Праздники-и-традиции
Т
Транспорт
П
Путешествия
С
Семейная-жизнь
Ф
Философия-и-религия
Б
Без категории
М
Мир-работы
Х
Хобби-и-рукоделие
И
Искусство-и-развлечения
В
Взаимоотношения
З
Здоровье
К
Кулинария-и-гостеприимство
Ф
Финансы-и-бизнес
П
Питомцы-и-животные
О
Образование
О
Образование-и-коммуникации
ледок
ледок
18.05.2022 03:38 •  Алгебра

Решить уравнение y'=(4x³+3) cos²y

👇
Ответ:
DavidWorld
DavidWorld
18.05.2022

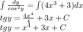
y'=(4x^3+3)cos^2y - уравнение с разделяющимися переменными.

Разделяем переменные

\frac{dy}{dx}=(4x^3+3) cos^2y\\\frac{dy}{cos^2y}=(4x^3+3)dx

Интегрируем обе части последнего равенства

\int\frac{dy}{cos^2y}=\int(4x^3+3)dx\\ tgy=\frac{4x^4}{4}+3x+C\\ tgy=x^4+3x+C

4,4(4 оценок)
Открыть все ответы
Ответ:
Molyaneya
Molyaneya
18.05.2022
Уравнение касательной у - у0 = к(х  - х0)
Надо найти х0,у0 и к, подставить в это уравнение и ...нет проблем.
Начали. х0 = 0
Ищем у0 . Для этого надо в функцию подставить х = 0
у0 = -2/3
Теперь что такое к?
Это производная в точке х0
Ищем производную
Она = (3(3 - х) - (3х -2)·(-1))/(3 - х)² = (9 - 3х +3х -2))/(3 - х)²= 7/( 3 - х)² = 7/3
к = 7/3
Можно уравнение касательной писать:
у +2/3 = 7/3 ( х- 0)
у = 7/3 х -2/3 
2) у = √(х -1)(х -4) = √(х² -5х +4)
Ищем производную.
Она = 1/2√( х² -5х + 4) ·( 2х -5) = (2х -5)/2√(х² - 5х +4) = -5/√4 = -5/2
4,4(24 оценок)
Ответ:
apiloota
apiloota
18.05.2022
1) x(3x+5)-1=x(x-4)раскрываем скобки3х²+5х-1=х²-4хпереносим всё в левую часть при этом не забываем сметить знаки на противоположные3х²+5х-1-х²+4х=0группируем(3х²-х²)+(5х+4х)-1=02х²+9х-1=0 2) (6+x)2=(x-2)(3-x)2(6+x)=(x-2)(3-x)раскрываем скобки12+2х=3х-х²-6+2хпереносим всё в левую часть при этом не забываем сметить знаки на противоположные12+2х-3х+х²+6-2х=0группируемх²+(2х-3х-2х)+(12+6)=0х²-3х+18=0 3)(7x-1)(2+x)=(x-4)(x+4)раскрываем скобки14х+7х²-2-х=х²-16переносим всё в левую часть при этом не забываем сметить знаки на противоположные14х+7х²-2-х-х²+16=0(7х²-х²)+(14хх)+(-2+16)=06х²+13х+14=0 4) x(8-3x)=(5x-1)2x(8-3x)=2(5x-1)раскрываем скобки8х-3х²=10х-2переносим всё в левую часть при этом не забываем сметить знаки на противоположные8х-3х²-10х+2=0-3х²+(8х-10х)+2=0-3х²-2х+2=0или 3х²+2х-2=0
4,5(47 оценок)
logo
Вход Регистрация
Что ты хочешь узнать?
Спроси Mozg
Открыть лучший ответ