

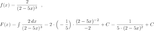
f(x)=2(2-5x)⁻³
F(x)=1/(5*(2-5x)²
проверка
F(x)=(1/5)(2-5x)⁻²
F'(x)=(1/5)*(-2)*(2-5x)⁻³*(-5)=2*(2-5x)⁻³.
По признаку делимости на 5, последняя цифра или 5 или 0, на втором месте может стоять любая из 10 цифр, на первом месте любая цифра кроме 0, всего получается 9*10*2=180 чисел.
Число кратно 5, если оно заканчивается на 0 или 5, давайте считать...
Последнее или 0 или 5.
Допустим 0, тогда на 1м месте могут стоять цифры от 1 до 9 - 9 штук, а в разряде десятков только 8 штук возможно (не 0 и не то, что стоит в сотнях). Итак, всего 72 числа (перемножили).
Теперь пусть в конце стоит 5, Тогда на первом месте (в сотнях) расположатся 1 2 3 4 6 7 8 9- 8 штук, в десятках тоже 8, (не 5 и не то, что в сотнях), итого 64.
Всего 136.