
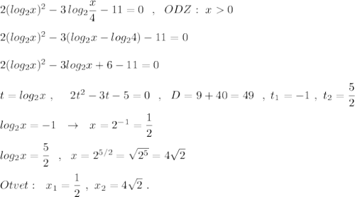
Объяснение: (во вложении)
2) 4 и 6
3) p=7 x=2
Объяснение:
2) Пусть х см одна сторона прямоугольника, тогда 20/2-х=10-х (см) - вторая сторона. По условию задачи сост уравнение:
х(10-х)=24
10х-х2-24=0
х2-10х+24=0
Д= 100-4*24=100-96=4, 2 корня
х=(10-2)/2=4, х=(10+2)/2=6
ответ: 4 и 6 см - стороны прямоугольника
3)вместо х подставляешь его корень,то есть -9
будет
81-9р-18=0
63-9р=0
-9р=-63
р=7
теперь вместо р подставляешь 7 и решаешь квадратное уравнение
х^2 + 7х -18=0
D=49+4*18=121
х1= -7+11/2=2
х2= -7-11/2=-9 (он нам с самого начала был извествен
ответ: р=7, х=2