М
Молодежь
К
Компьютеры-и-электроника
Д
Дом-и-сад
С
Стиль-и-уход-за-собой
П
Праздники-и-традиции
Т
Транспорт
П
Путешествия
С
Семейная-жизнь
Ф
Философия-и-религия
Б
Без категории
М
Мир-работы
Х
Хобби-и-рукоделие
И
Искусство-и-развлечения
В
Взаимоотношения
З
Здоровье
К
Кулинария-и-гостеприимство
Ф
Финансы-и-бизнес
П
Питомцы-и-животные
О
Образование
О
Образование-и-коммуникации
MCbelko
MCbelko
06.10.2022 06:51 •  Алгебра

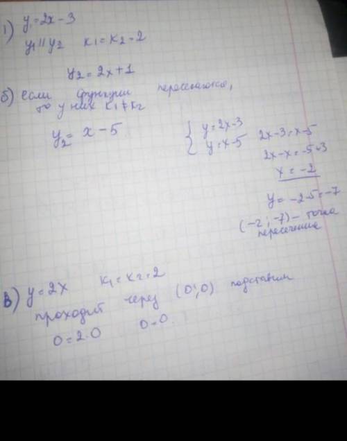
Дана линейная функция y = 2x -11. Задайте формулой линейную функцию, график которой:

а) параллелен графику данной функции;
б) пересекает график данной функции;
в) совпадает с данной функцией

👇
Ответ:
anyiugyo9e7
anyiugyo9e7
06.10.2022

:):):)):):):

Объяснение:

ахаха, ну лол

хз..


Дана линейная функция y = 2x -11. Задайте формулой линейную функцию, график которой: а) параллелен
4,4(100 оценок)
Ответ:

Объяснение:

осы дурыс болады точно


Дана линейная функция y = 2x -11. Задайте формулой линейную функцию, график которой: а) параллелен
4,6(10 оценок)
Открыть все ответы
Ответ:
konstontinopols
konstontinopols
06.10.2022

1. ∠1 и ∠3 смежные, значит ∠1 = 180° - ∠3 = 180° - 44° = 136°

∠1 и∠2 внутр. накрест лежащие углы, они равны между собой по 136° => a параллельно b

2. рассмотрим ΔABC и ΔADC.

они равны по 3 признаку, так как AC общая сторона, AD = BC и AB = CD

∠BCA = ∠DAC (как внутр. накрест лежащие углы), а из этого следует, что AD параллельно BC

3. обозначим на рисунке ∠4, ∠5, ∠6 и ∠7

∠7 = 180° - ∠3 = 180° - 41° = 139°, следовательно ∠7 = ∠3, значит a параллельно b

∠5 = ∠3 = 41° (как вертикальные)

∠4 = 180° - ∠1 = 180° - 160° = 20°

и ∠6 = 180° - ∠4 - ∠5 = 180° - 20° - 41° = 119°

следовательно угол, обозначенный как x, равен 180° - ∠6 = 180° - 119° = 61°


сдавать уже завтра.В интернете нету​
4,4(44 оценок)
Ответ:
Roserum
Roserum
06.10.2022
1)     общий знаменатель 15
       доп множитель для первой дроби 5, для второй 3, а для двойки 15
получаем
5х+40-3х+6=30
2х= -10
х= -5

2) {x=5+2y, 3(5+2y)+5y=26
{x=5+2y, 15+6y+5y=26
{x=5+2y, 11y=11
{y=1, x=7

3) y=2x-2     Задаем два значения Х и получаем два значения У.
х=0, у=-2
х=2, у=2

На координатной плоскости отмечаем две точки (0;-2) и (2;2) и получаем прямую.
Чтобы определить принадлежность точки А(-25;-52) к графику подставляем значение Х в функцию. Если У будет равно -52, то точка принадлежит графику, если не равно -52, то не принадлежит.
Т.е. у=2*(-25)-2=-50-2=-52, значит точка А принадлежит графику функции
4,4(40 оценок)
Новые ответы от MOGZ: Алгебра
logo
Вход Регистрация
Что ты хочешь узнать?
Спроси Mozg
Открыть лучший ответ