М
Молодежь
К
Компьютеры-и-электроника
Д
Дом-и-сад
С
Стиль-и-уход-за-собой
П
Праздники-и-традиции
Т
Транспорт
П
Путешествия
С
Семейная-жизнь
Ф
Философия-и-религия
Б
Без категории
М
Мир-работы
Х
Хобби-и-рукоделие
И
Искусство-и-развлечения
В
Взаимоотношения
З
Здоровье
К
Кулинария-и-гостеприимство
Ф
Финансы-и-бизнес
П
Питомцы-и-животные
О
Образование
О
Образование-и-коммуникации
revunova
revunova
16.05.2020 20:39 •  Алгебра

№1Решить систему матричным Решить систему по формулам Крамера


№1Решить систему матричным Решить систему по формулам Крамера
№1Решить систему матричным Решить систему по формулам Крамера

👇
Ответ:
sofiaryzhova
sofiaryzhova
16.05.2020

Объяснение:

\left\{\begin{array}{ccc}2x-4y+z=3\\x-5y+3z=-1\\x-y+z=1\end{array}\right\ \ \ \ \Rightarrow\\\left(\begin{array}{ccccc}2&-4&1&|&3\\1&-5&3&|&-1\\1&-1&1&|&1\end{array}\right)\\

Вычислим определители матрицы:

\Delta=\left(\begin{array}{ccc}2&-4&1\\1&-5&3\\1&-1&1\end{array}\right )=2*((-5)*1-3*(-1))-(-4)*(1*1-1*3)+1*(1*(-1)-1*(-5))=2*(-5+3)+4*(1-3)+(-1+5)=2*(-2)+4*(-2)+4=-4-8+4=-8.

\Delta_x=\left(\begin{array}{ccc}3&-4&1\\-1&-5&3\\1&-1&1\end{array}\right)=3*((-5)*1-(-1)*3)-(-4)*((-1)*1-1*3)+1*((-1)*(-1)-1*(-5))=3*(-5+3)+4*(-1-3)+(1+5)=\\=3*(-2)+4*(-4)-4=-6-16+6=-16.

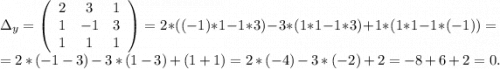
\Delta_y=\left(\begin{array}{ccc}2&3&1\\1&-1&3\\1&1&1\end{array}\right) =2*((-1)*1-1*3)-3*(1*1-1*3)+1*(1*1-1*(-1))=\\=2*(-1-3)-3*(1-3)+(1+1)=2*(-4)-3*(-2)+2=-8+6+2=0.\\

\Delta_z=\left(\begin{array}{ccc}2&-4&3\\1&-5&-1\\1&-1&1\end{array}\right)=2*((-5)*1-(-1)*(-1))-(-4)*(1*1-1*(-1))+3*(1*(-1)-1*(-5))=2*(-5-1)+4*(1+1)+3*(-1+5)=2*(-6)+4*2+3*4=\\=-12+8+12=8.

x=\frac{\Delta_x}{\Delta}=\frac{-16}{-8} =2.\\y=\frac{\Delta_y}{\Delta}=\frac{0}{-8} =0.\\z=\frac{\Delta_z}{\Delta}=\frac{8}{-8} =-1.

ответ: x=2   y=0   z=-1.

 

4,7(54 оценок)
Открыть все ответы
Ответ:
197983
197983
16.05.2020
Чтобы доказать, что треуг равноб, нужно найти длины всех трех сторон:
координаты стороны АВ (из конца вычитаем начало) : (2-(-6); 4-1)=(8;-3)
АВ= корень квадратный из (восемь в квадрате плюс (минус три в квадрате) = корень квадратный из семидесяти трех
аналогично все остальные стороны
ВС=(2-2;-2-4)=(0;-6)
длина ВС = корень квадратный из (ноль в квадрате плюс (минус шесть в квадрате)) = корень из 36 = 6
АС=(2-(-6);-2-1)=(8;-3)
АС=корень квадратный из суммы квадратов координат 
получаем, что и длина АС равна корень из 75
АВ=АС, то есть треуг равноб
4,6(84 оценок)
Ответ:
irichkagolikova
irichkagolikova
16.05.2020
Решение:
Обозначим собственную скорость моторной лодки за (х) км/час, тогда скорость лодки по течению равна:
(х+2) км/час
а против течения реки (х-2) км/час
Расстояние пройденной лодкой по течению равно:
S=V*t  или: S=(х+2)*4 (км)
Расстояние пройденной лодкой против течения равно:
S=(x-2)*2 (км)
А так как по течению моторная лодка на 28 км больше чем против течению, составим уравнение:
(х+2)*4 - (х-2)*2=28
4х+8-2х+4=28
2х=28-12
2х=16
х=16:2
х=8 (км/час- собственная скорость моторной лодки)

ответ: Собственная скорость моторной лодки 8км/час
4,8(76 оценок)
Это интересно:
logo
Вход Регистрация
Что ты хочешь узнать?
Спроси Mozg
Открыть лучший ответ