М
Молодежь
К
Компьютеры-и-электроника
Д
Дом-и-сад
С
Стиль-и-уход-за-собой
П
Праздники-и-традиции
Т
Транспорт
П
Путешествия
С
Семейная-жизнь
Ф
Философия-и-религия
Б
Без категории
М
Мир-работы
Х
Хобби-и-рукоделие
И
Искусство-и-развлечения
В
Взаимоотношения
З
Здоровье
К
Кулинария-и-гостеприимство
Ф
Финансы-и-бизнес
П
Питомцы-и-животные
О
Образование
О
Образование-и-коммуникации
alex3942
alex3942
19.06.2021 23:00 •  Алгебра

АРИФМЕТИЧЕСКИЕ ПРОГРЕССИИ Сумма первых шести членов арифметической прогрессии (аn) равна 12. Найдите шестой член прогрессии, если а1 равно: 6.
ответ должен выйти -2, формулу нужно использовать S=a1+d(n-1)×n/2

👇
Ответ:
ulpashkova
ulpashkova
19.06.2021

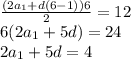
S_{n} = \frac{(2a_1 + d(n - 1))n }{2}

из условия:

S_6 = 12

n = 6

\frac{(2a_1 + d(6- 1))6 }{2} = 12 \\ 6(2a_1 + 5d) = 24 \\ 2a_1 + 5d = 4

также из условия известно, что а1 = 6

2 \times 6 + 5d = 4 \\ 5d = - 8 \\ d = - \frac{8}{5}

a_n = a_1 + (n - 1) \times d \\ a_6 = a_1 + 5 \times ( - \frac{8}{5} ) \\ a_6 = 6 - 8 = - 2

Шестой член арифметической прогрессии равен -2

4,4(49 оценок)
Ответ:
lasalina
lasalina
19.06.2021

ответ:-2

Объяснение:Sn=(a1+an)*n/2

12=(6+an)*6/2

4=6+an

an=4-6=-2

4,4(72 оценок)
Открыть все ответы
Ответ:
gorodkatya
gorodkatya
19.06.2021

1° = pi/180 радиан ~ 0,017453293 радиан

1° = 1/360 оборота ~ 0,002777 оборота

1° = 400/360 градов ~ 1,111111 градов

Соотношение радиана с другими единицами измерения углов описывается формулой:

* 1 радиан = 1/2π оборотов = 180/π градусов = 200/π градов

Очевидно, 180° = π. Отсюда вытекает тривиальная формула пересчёта из градусов, минут и секунд в радианы и наоборот.

α[рад] = (π / 180) × α[°]

α[°] = (180 / π) × α[рад]

где: α[рад] — угол в радианах, α[°] — угол в градусах

1 рад ≈ 57,295779513° ≈ 57°17′44,806″

4,5(93 оценок)
Ответ:
tanyakondratev2
tanyakondratev2
19.06.2021

САМОСТОЯТЕЛЬНАЯ РАБОТА УЧАЩИХСЯ

И ЕЕ ЗНАЧЕНИЕ В ПРОЦЕССЕ ОБУЧЕНИЯ

Задачи школы и роль самостоятельной работы

учащихся в их осуществлении

Каждый учитель, всей душой отдающийся своему

делу, обучая и воспитывая детей, подростков, юношей,

видит их не только такими, какие они есть, но и такими,

какими они будут. Он руководствуется не только целя-

ми близкими, но и отдаленными.

Советский педагог счастлив тем, что цели воспита-

ния юных поколений в обществе, строящем коммунизм,

освещают ему как яркий факел весь путь, по которому

он должен провести своих воспитанников. Цели комму-

нистического воспитания определены объективным ходом

развития коммунистического общества; они ярко выраже-

ны в проекте новой Программы КПСС. Коммунистиче-

ское общество не только выдвигает идеал всесторонне

развитого человека, но оно создает и условия для дейст-

вительного осуществления этого идеала. Советский учи-

тель должен вооружать учащихся подлинно научными

знаниями, такими знаниями, умениями и навыками, ко-

торые улучшать жизнь людей и всесторонне

развивать их Поэтому труд советского учи-

теля — труд радостный и творческий.

Для передовых людей нашей страны характерны

прежде всего коммунистическая идейность, убежден-

ность в том, что прогрессивная линия развития челове-

чества идет по дорогам, ведущим к коммунизму. С этим

связано страстное желание и высокое умение практиче-

ски участвовать в коммунистическом строительстве, при-

меняя научные знания в своей деятельности.

4,8(85 оценок)
Это интересно:
Новые ответы от MOGZ: Алгебра
logo
Вход Регистрация
Что ты хочешь узнать?
Спроси Mozg
Открыть лучший ответ