М
Молодежь
К
Компьютеры-и-электроника
Д
Дом-и-сад
С
Стиль-и-уход-за-собой
П
Праздники-и-традиции
Т
Транспорт
П
Путешествия
С
Семейная-жизнь
Ф
Философия-и-религия
Б
Без категории
М
Мир-работы
Х
Хобби-и-рукоделие
И
Искусство-и-развлечения
В
Взаимоотношения
З
Здоровье
К
Кулинария-и-гостеприимство
Ф
Финансы-и-бизнес
П
Питомцы-и-животные
О
Образование
О
Образование-и-коммуникации
BlackStyle69
BlackStyle69
08.09.2020 23:19 •  Алгебра

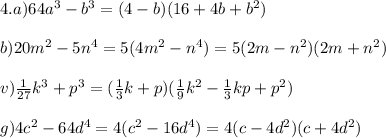
Кто с чем сможет! нужно! №1. представьте в виде многочлена: а) (х-2у)^2. б) (1/2m-n)(1/4m+n). в) (3а+b)^2. г) (у-1/5х)(y+1/5x). №2. преобразуйте в произведение: а) 36a^2-b^2. б) 4-4c+c^2. в) 15y^5-3y^3. г) m^2-81n^2. д) 25+10p+p^2. е) 6b^7-24b^4. №3. а) выражение (c-d)^2+d(5c-d) и найдите его значение при с=-2, d=1/3. б) выражение y(7x-y)+(x-y)^2 и найти его значение при x=-1, y=1/5. №4. разложите на множители: а) 64а^3-b^3. б) 20m^2-5n^4. в) 1/27k^3+p^2. г) 4c^2-64d^4. №5. 49-(x+5)^2=0

👇
Ответ:
Даша5015664
Даша5015664
08.09.2020

1. a) (x-2y)^2=x^2-4xy+4y^2\\ \\ b) (\frac{1}{2}m-n)(\frac{1}{4}m+n)=\frac{1}{8}m^2+\frac{1}{2}mn-\frac{1}{4}mn-n^2=\\ =\frac{1}{8}m^2+\frac{1}{4}mn-n^2\\ \\v) (3a+b)^2=9a^2+6ab+b^2\\ \\g) (y-\frac{1}{5}x)(y+\frac{1}{5}x)=y^2-\frac{1}{25}x^2.

 

2\\ a) 36a^2-b^2=(6a-b)(6a+b)\\ \\ b) 4-4c+c^2=(2-c)^2\\ \\ v) 15y^5-3y^3=3y^3(5y^2-1)=3y^3(\sqrt{25}y-1)(\sqrt{25}y+1)\\ \\ g) m^2-81n^2=(m-9n)(m+9n)\\ \\ d) 25+10p+p^2=(5+p)^2\\ \\ e) 6b^7-24b^4=6b^4(b^3-4)

 

3.\\ a)(c-d)^2+d(5c-d)=c^2-2cd+d^2+5cd-d^2=\\ =c^2+3cd=c(c+3d)\\ c(c+3d)=-2(-2+3*\frac{1}{3})=-2(-2+1)=-2*(-1)=2\\ \\ b) y(7x-y)+(x-y)^2=7xy-y^2+x^2-2xy+y^2=\\ =5xy+x^2=x(5y+x)\\ x(5y+x)=-1(5*\frac{1}{5}-1)=-1*(1-1)=-1*0=0\\

 

4.a) 64a^3-b^3=(4-b)(16+4b+b^2)\\ \\ b) 20m^2-5n^4=5(4m^2-n^4)=5(2m-n^2)(2m+n^2)\\ \\ v) \frac{1}{27}k^3+p^3=(\frac{1}{3}k+p)(\frac{1}{9}k^2-\frac{1}{3}kp+p^2)\\ \\ g) 4c^2-64d^4=4(c^2-16d^4)=4(c-4d^2)(c+4d^2)

 

5.\ \ 49-(x+5)^2=0 \\ 49-x^2-10x-25=0\\ -x^2-10x+24=0\\ x^2+10x-24=0\\ D=100-4*1*(-24)=100+96=196\\ x_1=\frac{-10+14}{2}=2\\ x_2=\frac{-10-14}{2}=-12

ответ: 2 и -12

4,5(39 оценок)
Открыть все ответы
Ответ:
den536
den536
08.09.2020
11 а) определяемое понятие - параллелограмм,
определяющее понятие - четырехугольник,
родовое понятие - четырехугольник,
видовое отличие - противоположные стороны попарно параллельны.

б) определяемое понятие - средняя линия,
определяющее понятие - отрезок,
родовое понятие - треугольник,
видовое отличие - соединяющий середины двух сторон треугольника.

12 а) видовое отличие - луч, выходящий из вершины угла и делящий угол пополам.
Свойства, содержащиеся в видовом отличии:
- Луч должен выпускаться из вершины угла.
- Луч должен делить угол пополам.

б) видовое отличие - прямые лежат в одной плоскости и не пересекаются.
Свойства, содержащиеся в видовом отличии:
- Прямые должны лежать в одной плоскости.
- Прямые не должны пересекаться.

13. а) Остроугольный треугольник и прямоугольный треугольник не являются соразмеримыми.
Соразмеримые предметы имеют сходство в своей структуре или свойствах, с которыми они описываются. В данном случае, остроугольный и прямоугольный треугольники имеют разные виды углов и поэтому не могут считаться соразмеримыми.
4,7(90 оценок)
Ответ:
RAYDEN02
RAYDEN02
08.09.2020
Добрый день! Давайте разберем эту задачу шаг за шагом.

Итак, у нас имеется два тюбика зубной пасты по 100 мл каждый. Чтобы определить, хватит ли этого количества пасты семье на четыре недели, нам необходимо выяснить, сколько пасты семья будет расходовать за неделю.

Женя заметил, что каждая порция пасты, которую они выдавливают из тюбика, имеет примерно форму цилиндра. Он вычислил приблизительный объем такого цилиндра и получил 0,7 см³.

Теперь нам нужно выяснить, сколько порций пасты семья будет расходовать за неделю. Для этого умножим объем одной порции (0,7 см³) на количество людей в семье.

В семье пять членов, поэтому получаем следующее выражение:
Расход пасты за неделю = объем одной порции × количество людей в семье = 0,7 см³ × 5 = 3,5 см³.

Теперь перейдем к следующему шагу. Нам нужно определить, сколько пасты понадобится семье на четыре недели. Для этого умножим расход пасты за неделю на количество недель в четырехнедельном периоде.

Выражение будет выглядеть следующим образом:
Расход пасты за четыре недели = Расход пасты за неделю × количество недель = 3,5 см³ × 4 = 14 см³.

Таким образом, семье потребуется 14 см³ пасты на четыре недели.

А теперь давайте сравним это значение с объемом двух тюбиков зубной пасты.
У нас есть два тюбика по 100 мл каждый. Чтобы перевести это значение в сантиметры кубические, необходимо умножить 100 мл на 1 см³/1 мл, что даст нам 100 см³ (так как 1 мл равен 1 см³).

Таким образом, у нас есть два тюбика по 100 см³ каждый, что в сумме даёт 200 см³.

Итак, у нас имеется 200 см³ пасты и семье требуется всего 14 см³ на четыре недели. Поскольку объем пасты, требуемый семьей, намного меньше, чем есть на самом деле, мы можем сделать вывод, что пасты хватит семье на указанный период.
4,6(6 оценок)
Это интересно:
logo
Вход Регистрация
Что ты хочешь узнать?
Спроси Mozg
Открыть лучший ответ