 
                                                 
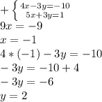
                                                {4х-3у=-10.
{5х+3у=1
<=>
{9х=-9
{5х-3у=1
<=>
{х=(-1)
{у=(-0,4)
 
                                                1) После раскрытия скобок выражение принимает вид:
 .
.
Эта функция имеет 2 минимума:
1. (0,8; 1,8)
2. (10,2; -36).
2) Запишем пропорцию - a/b = c/d a = b + 6 c = d + 5
(b + 6) / b = (d + 5) / d Отсюда 6d = 5b d = 5b / 6
По условию a^2 + b^2 + c^2 + d^2 = 793
Подставив значения, получим - (b + 6)^2 + b^2 + (d + 5)^2 + d^2 = 793.
После раскрытия скобок - 2b^2 + 12b + 2d^2 + 10d + 61 = 793/
Заменив d = 5b / 6 и приведя к общему знаменателю, получим
72b^2 + 432b + 50b^2 + 300b = 26352 или 122b^2 + 732b - 26352 = 0
Корни этого уравнения равны -18 и 12. Отрицательное значение отбрасываем - b = 12.
а =12 + 6 = 18 - это первый член пропорции
 
                                                 
                                                 
                                                 
                                                 
                                                 
                                                 
                                                
ответ: x = -1; y = 2
Объяснение: