М
Молодежь
К
Компьютеры-и-электроника
Д
Дом-и-сад
С
Стиль-и-уход-за-собой
П
Праздники-и-традиции
Т
Транспорт
П
Путешествия
С
Семейная-жизнь
Ф
Философия-и-религия
Б
Без категории
М
Мир-работы
Х
Хобби-и-рукоделие
И
Искусство-и-развлечения
В
Взаимоотношения
З
Здоровье
К
Кулинария-и-гостеприимство
Ф
Финансы-и-бизнес
П
Питомцы-и-животные
О
Образование
О
Образование-и-коммуникации
дарья1643
дарья1643
08.10.2022 02:37 •  Алгебра

31 завдання, до іть будь ласка


31 завдання, до іть будь ласка

👇
Ответ:
Милкович11
Милкович11
08.10.2022

1 - Д

2 - Г

3 - В

Объяснение:

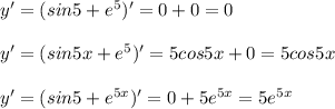
y'=(sin5+e^5)'=0+0=0\\\\y'=(sin5x+e^5)'=5cos5x+0=5cos5x\\\\y'=(sin5+e^{5x})'=0+5e^{5x}=5e^{5x}

4,6(93 оценок)
Открыть все ответы
Ответ:
lerakuzka
lerakuzka
08.10.2022
В) х=4,8.  у= -2,1
1/2х-у = 1/2 * 4.8 - (-2.1) = 1/2 * 4 целых 8/10 + 2 целых 1/10 = 1/2 * 48/10 + 21/10 = 24/10 + 21/10 = 45/10 = 9/2 = 4 целых 1/10

г) х= -4,4. у= -3.
1/2х - у = 1/2 * (-4.4) - (-3) = - 1/2 * 4 целых 4/10 + 3 = - 1/2 * 44/10 + 3 = - 22/10 + 3/1 = - 22/10 + 30/10 = 8/10 = 4/5

27. Известно, что при некоторых значениях a и b значение выражения a-b равно 4. Чему равно при тех же a и b выражение 12/b-a + 16/(b-a)²?
Если а-б = 4, тогда б-а = - 4
 12/b-a + 16/(b-a)² = 12/4 + 16/4² = 3/1 + 16/16 = 3 + 1 = 4 

28. Вычислите значение выражения:

а) ах-3у при а=10, х= -5, у= -1/3
10 * (-5) - 3(-1/3) = -50 + 1 = - 49

б) ах+bх+с при а=1/2, х=2, b=-3, с=5,8.
1/2 * 2 - 3 * 2 + 5.8 = 1 - 6 + 5.8 = 0,8
4,5(62 оценок)
Ответ:
urukhaiz
urukhaiz
08.10.2022
a-x^2 \geq |sinx|

График  y=|sinx|  расположен выше оси ОХ.
Точки пересечения с осью ОХ:  x=\pi n\; ,\; n\in Z .
Графики функций  y=a-x^2 - это параболы , ветви
которых направлены вниз, а вершины в точках (0, а).
При х=0  sin0=0 и точка (0,0) является точкой пересечения 
графика у=|sinx| и оси ОУ, на которой находятся вершины парабол.
При а=0 графики y=|sinx| и y=x² имеют одну точку пересе-
чения - (0,0), при а<0  точек пересе-
чения вообще нет. А при а>0 будет всегда 2 точки пересе-
чения этих графиков и соответственно, будет выполняться
заданное неравенство.
То есть одна точка пересечения при а=0.
ответ:  а=0.
При каком значении параметра а неравенство а-x^2больше или равно|sinx| имеет единственное решение? н
4,5(7 оценок)
Это интересно:
Новые ответы от MOGZ: Алгебра
logo
Вход Регистрация
Что ты хочешь узнать?
Спроси Mozg
Открыть лучший ответ