М
Молодежь
К
Компьютеры-и-электроника
Д
Дом-и-сад
С
Стиль-и-уход-за-собой
П
Праздники-и-традиции
Т
Транспорт
П
Путешествия
С
Семейная-жизнь
Ф
Философия-и-религия
Б
Без категории
М
Мир-работы
Х
Хобби-и-рукоделие
И
Искусство-и-развлечения
В
Взаимоотношения
З
Здоровье
К
Кулинария-и-гостеприимство
Ф
Финансы-и-бизнес
П
Питомцы-и-животные
О
Образование
О
Образование-и-коммуникации
Kjutf
Kjutf
28.03.2020 01:13 •  Алгебра

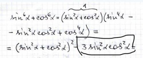
Объясните ,откуда взялось обведённое выражение


Объясните ,откуда взялось обведённое выражение

👇
Ответ:
VictorBo
VictorBo
28.03.2020

чтобы меньше писать пусть sin a = x cos a = y и x² + y² = 1 тогда

x⁶ + y⁶ = (x²)³ + (y²)³ = (x² + y²)(x⁴ - x²y² + y⁴) = (x²)² + 2x²y² + (y²)² - 2x²y² - x²y² = (x² + y²)² - 3x²y²

4,6(89 оценок)
Открыть все ответы
Ответ:
scvdnl
scvdnl
28.03.2020
А) I2x-3I=3 ⇒ 2x-3 = 3 или 2х-3=-3⇒ х=3 или х= 0

б) I1001x+14I= -1⇒ модуль не может быть отрицательным

в) I x²-xI=0 ⇒ I x(x-1)I=0 ⇒ х=0 или х= 1 

г)  I Ix-1I -4I=3⇒ Ix-1I -4=3 ⇒ Ix-1I=7⇒ x-1=7 или х-1=-7⇒ х=8 или х= -6
                         ⇒4-|x-1|=3⇒|x-1|=1⇒x=2 или х=0

д) lllх-3l-3l-3l=3 
I Ix-3I-3I -3= 3  или 3-||x-3|-3|=3
1. ||x-3|-3|=6
|x-3|-3=6 или 3-|x-3|=6 (решений нет)
|x-3|=6      
x=12 или x=-6
2. 3-||x-3|-3|=3
||x-3|-3|=0
|x-3|=3
x=6 или х=0
ответ х=12,-6,6,0

е) |8-|x+2||=7
1.8-|x+2|=7          
|x+2|=1
x+2=1⇒x=-1
x+2=-1⇒x=-3
2. |x+2|-8=7
|x+2|=15
x=13 или х=-17
ответ х= -17,-3,-1,13

ж).|x+1|+|5-x|=20
1. |x+1|+5-x=20
|x+1|=15+x
x+1=15+x нет решения
x+1=-15-x⇒ x=-8
2. |x+1|+x-5=20
|x+1|=25-x
x=12
ответ х= -8, 12

з).|x-1|+|x+2|=3
1. x-1+|x+2|=3
|x+2|=4-x
x=1
2. 1-x+|x+2|=3
|x+2|=2+x
x∈[0;1]
x=-2
ответ х=-2,1 и x∈[0;1]

и) |x+8|+|x-7|=10
1. x≤-8
-x-8+7-x=10
-2x=11
x=-5.5
не подходит
2. -8<x≤7
x+8+7-x=10
решений нет
3.x>7
x+8+x-7=10
2x=9
x=4.5 не подходит
ответ Решений нет

к) ||2x-3|-1|=3
1. |2x-3|-1=3
|2x-3|=4
x=-0.5 
x=3.5
2. 1-|2x-1|=3
|2x-1|=-2
решений нет
ответ х= -0,5 , 3,5
4,8(73 оценок)
Ответ:
viktoriya229
viktoriya229
28.03.2020
1)
{3-x>1
{x²-9≤9

3-x>1
-x>1-3
-x>-2
x<2

x²-9≤9
x²-9-9≤0
x²-18≤0
(x-√18)(x+√18)≤0
(x-3√2)(x+3√2)≤0
x=3√2      x=-3√2
     +                      -                       +
-3√2 3√2
                    
-3√2 ≤ x ≤ 3√2

{x<2
{-3√2 ≤ x ≤ 3√2

-3√2 2 3√2
                 
-3√2 ≤ x <2
x∈[-3√2; 2)

2.
{x² ≥4
{x-3<0

x² ≥4
x²-4≥0
(x-2)(x+2)≥0
x=2       x=-2
           +                      -                   +
-2 2
                           
x≤-2
x≥2

x-3<0
x<3

{x≤ -2
{x≥ 2
{x<3
                       
-2 2 3

x∈(-∞; -2] U [2; 3)

3.
{6x-x²>0
{3-2x>x

6x-x²>0
x²-6x<0
x(x-6)<0
x=0    x=6
     +                 -                   +
0 6
               
0<x<6

3-2x>x
-2x-x> -3
-3x> -3
x<1

{0<x<6
{x<1
               
0 1 6

0<x<1
x∈(0; 1)
4,4(42 оценок)
Это интересно:
Новые ответы от MOGZ: Алгебра
logo
Вход Регистрация
Что ты хочешь узнать?
Спроси Mozg
Открыть лучший ответ