М
Молодежь
К
Компьютеры-и-электроника
Д
Дом-и-сад
С
Стиль-и-уход-за-собой
П
Праздники-и-традиции
Т
Транспорт
П
Путешествия
С
Семейная-жизнь
Ф
Философия-и-религия
Б
Без категории
М
Мир-работы
Х
Хобби-и-рукоделие
И
Искусство-и-развлечения
В
Взаимоотношения
З
Здоровье
К
Кулинария-и-гостеприимство
Ф
Финансы-и-бизнес
П
Питомцы-и-животные
О
Образование
О
Образование-и-коммуникации
26dura
26dura
12.11.2020 18:27 •  Алгебра

Решите пример 2x-7/(x-2)(x-7) - 1/(x-1)(x-2)

👇
Ответ:
stolyarovsemen
stolyarovsemen
12.11.2020
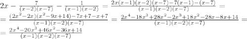
2x- \frac{7}{(x-2)(x-7)} - \frac{1}{(x-1)(x-2)} =
 \frac{2x(x-1)(x-2)(x-7)-7(x-1)-(x-7)}{(x-1)(x-2)(x-7)} =
\\\
= \frac{(2x^2-2x)(x^2-9x+14)-7x+7-x+7}{(x-1)(x-2)(x-7)} =
 \frac{2x^4-18x^3+28x^2-2x^3+18x^2-28x-8x+14}{(x-1)(x-2)(x-7)} =
\\\
 =\frac{2x^4-20x^3+46x^2-36x+14}{(x-1)(x-2)(x-7)}
4,7(17 оценок)
Ответ:
mahachik7
mahachik7
12.11.2020
Вот решение, если чего-то не понятно пиши в л/с подскажу 
Решите пример 2x-7/(x-2)(x-7) - 1/(x-1)(x-2)
4,7(26 оценок)
Открыть все ответы
Ответ:
liqwer
liqwer
12.11.2020
Замена: cos(x) = t, t∈[-1;1]
5t^2 - 12t + 4 = 0
D=144 - 4*4*5 = 64
t1 = (12 - 8)/10 = 4/10 = 2/5
t2 = (12+8)/10 = 20/10 = 2 > 1 - посторонний корень
cosx = 2/5
x = +- arccos(2/5) + 2πk
x∈[-5π/2;-π]
1) -5π/2 ≤ arccos(2/5) + 2πk ≤ -π - во всех частях неравенства отнимем аркосинус, и получившееся выражение разделим на 2пи:
-5/4 - (arccos(2/5))/(2π) ≤ k ≤ -0.5 - (arccos(2/5))/(2π), => k= -1
2) -5π/2 ≤ -arccos(2/5) + 2πk ≤ -π - во всех частях неравенства прибави аркосинус, и получившееся выражение разделим на 2пи:
-5/4 + (arccos(2/5))/(2π) ≤ k ≤ -0.5 + (arccos(2/5))/(2π), => k= -1
Значит, нужный корень существует при k=-1
x = +-arccos(2/5) - 2π
4,6(56 оценок)
Ответ:
Скорость плота=скорости течения реки.
найдем время плота
51:3=17 (ч) плыл плот
17-1=16 (ч) плыла лодка
Пусть х-собственная скорость лодки тогда ее скорость по течению х+3, а скорость против течения х-3.
140/х+3 — время по течению
140/х-3 — время против течения

140/х+3 + 140/х-3=16
140(х-3)+140(х+3)=16(х^2-9)
140х-420+140х+420=16х^2-144
280х=16х^2-144
16х^2-280х-144=0
2х^2-35х-18=0
Д=35^2+4*2*18=1369=37^2
х1=35+37/4=18 (км/ч) - скорость лодки
х2=35-37/4= -2/4 — не удовлетворяет условию задачи.
ответ: 18 км/ч собственная скорость лодки
4,6(21 оценок)
Это интересно:
Новые ответы от MOGZ: Алгебра
Полный доступ к MOGZ
Живи умнее Безлимитный доступ к MOGZ Оформи подписку
logo
Вход Регистрация
Что ты хочешь узнать?
Спроси Mozg
Открыть лучший ответ