1.
(x+7)(x-2)=x² - 2x+7x - 14=x²+5x-14
(y+5)(y²-3y+8)=y³-3y²+8y+5y²-15y+40=y³+2y² - 7y+40
(4c-d)(6c+3d)=24c²+12cd-6cd-3d²=24c²+6cd-3d²
2.
y(a-b)+2(a-b)=(a-b)(y+2)
3x-3y+ax-ay=3(x-y)+a(x-y)=(x-y)(3+a)
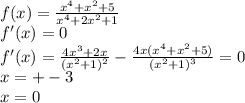
3.
xy(x+y)-(x²+y²)(x-2y)=x²y+xy² - (x³-2x²y+xy²-2y³)=x²y+xy²- x³+2x²y-xy²+2y³=2y³+3x²y - x³
4.
a(a-2)-8=(a+2)(a-4)
a²-2a-8=a²-2a-8
0=0 - верно
5.
х дм - ширина прямоугольника
х+12 (дм) - длина
х+12+3 (дм) - увеличенная длина
х+2 (дм) - увеличенная ширина
х(х+12)=(х+12+3)(х+2)-80
х²+12х=х²+17х+30-80
17х-12х=50
5х=50
х=10(дм) - ширина прямоугольника
10+12=22(дм) - длина
и
– среднеарифметическое равно
и при этом
на
меньше двадцати пяти и на
больше семнадцати.
монет и у них становится поровну, то они как раз и приходят к среднеарифметическому их начальных количеств монет. В итоге у Васи оказывается на
монет меньше изначального, а у Пети на
монет больше изначального. А значит, вначале у Васи было на
монет больше, чем у Пети.
монет. Тогда у Пети
монет.
монет, а у Пети-II будет
монет. При этом у Пети-II монет в
раз меньше, т.е. если мы количество монет Пети-II мысленно увеличим в
раз, то их станет столько же, сколько и у Васи-II. На этом основании составим уравнение:



было целым, целой должен быть и результат деления в дроби, а чтобы
было максимальным, частное от деления в дроби должно быть максимальным, а значит её знаменатель должен быть минимальным, целым, положительным числом, что возможно только, когда
откуда:




было целым, целой должен быть и результат деления в дроби. А максимальное значение знаменателя в такой дроби (при том, что частное от деления остаётся целым) составляет
откуда:
Подставим каждое значение в начальное выражение и получим что минимальное равна