М
Молодежь
К
Компьютеры-и-электроника
Д
Дом-и-сад
С
Стиль-и-уход-за-собой
П
Праздники-и-традиции
Т
Транспорт
П
Путешествия
С
Семейная-жизнь
Ф
Философия-и-религия
Б
Без категории
М
Мир-работы
Х
Хобби-и-рукоделие
И
Искусство-и-развлечения
В
Взаимоотношения
З
Здоровье
К
Кулинария-и-гостеприимство
Ф
Финансы-и-бизнес
П
Питомцы-и-животные
О
Образование
О
Образование-и-коммуникации
sansanetflower
sansanetflower
05.09.2021 03:26 •  Алгебра

Найдите область определения функции,заданной формулой a) f(x)=10-x^2 б) f(x)=-\frac(42)(x) в) f(x)=\sqrt(x-3) г) y=\frac(12)(x+4)

👇
Ответ:
579w2g3
579w2g3
05.09.2021
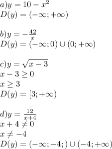
a)y=10-x^2\\D(y)=(-\infty;+\infty)\\\\b)y=- \frac{42}{x}\\D(y)=(-\infty;0)\cup(0;+\infty) \\\\c)y= \sqrt{x-3}\\x-3 \geq 0\\x \geq 3\\D(y)=[3;+\infty)\\\\d)y= \frac{12}{x+4}\\x+4 \neq 0\\x \neq -4\\D(y)=(-\infty;-4;)\cup(-4;+\infty)
4,5(94 оценок)
Открыть все ответы
Ответ:
pudova20001katya
pudova20001katya
05.09.2021
Так как EC - биссектриса, то:
\frac{DC}{ED} = \frac{CK}{EK} \ \ \textless \ =\ \textgreater \ \ \frac{CK}{DC}= \frac{EK}{ED}
при делении точкой отрезка на 2 части, относящиеся как m к n, есть формула для вычисления координат этой точки:
x= \frac{x_1+\lambda *x_2}{1+\lambda} 
\\y= \frac{y_1+\lambda *y_2}{1+\lambda} 
\\\lambda= \frac{m}{n}
ищем длины сторон:
для этого используем формулу |AB|=\sqrt{(x_1-x_2)^2+(y_1-y_2)^2}
|ED|=\sqrt{(3+4)^2+7^2}=\sqrt{98}
\\|EK|=\sqrt{(3-8)^2+(2-3)^2}=\sqrt{26}
\\|DK|=\sqrt{144+64}=\sqrt{208}
находим координаты точки C:
x_1=8;\ x_2=-4;\ y_1=3;\ y_2=-5
\\\lambda= \frac{CK}{DC} = \frac{EK}{ED} = \frac{\sqrt{26}}{\sqrt{98}}=\sqrt{ \frac{26}{98} }=\sqrt{ \frac{13}{49} } = \frac{\sqrt{13}}{7} 
\\C( \frac{8+ \frac{\sqrt{13}}{7} *(-4)}{1+ \frac{\sqrt{13}}{7}} ; \frac{3+ \frac{\sqrt{13}}{7}*(-5)}{1+ \frac{\sqrt{13}}{7}} )=C( \frac{8- \frac{4\sqrt{13}}{7} }{ \frac{7+\sqrt{13}}{7} } ; \frac{3- \frac{5\sqrt{13}}{7} }{\frac{7+\sqrt{13}}{7}} )=
=C( \frac{ \frac{56-4\sqrt{13}}{7} }{\frac{7+\sqrt{13}}{7}}; \frac{ \frac{21-5\sqrt{13}}{7} }{\frac{7+\sqrt{13}}{7}})=C( \frac{56-4\sqrt{13}}{7+\sqrt{13}} ; \frac{21-5\sqrt{13}}{7+\sqrt{13}} )
теперь определим вид треугольника для этого используем теорему косинусов:
вид треугольника будем определять по косинусу самого большого угла; если cos<0, то угол тупой; если cos=0, то угол прямой; если cos>0, то угол острый.
Против большей стороны лежит больший угол, поэтому запишем теорему косинусов для DK и косинуса угла E:
DK^2=ED^2+EK^2-2ED*EK*cosE&#10;\\cosE= \frac{ED^2+EK^2-DK^2}{2ED*EK} = \frac{98+26-208}{2\sqrt{98*26}}\ \textless \ 0
cosE<0 поэтому угол тупой и треугольник тупоугольный
ответ:
1) C( \frac{56-4\sqrt{13}}{7+\sqrt{13}} ; \frac{21-5\sqrt{13}}{7+\sqrt{13}} )
2) треугольник тупоугольный
4,6(72 оценок)
Ответ:
666Chocolate666
666Chocolate666
05.09.2021
Так как EC - биссектриса, то:
\frac{DC}{ED} = \frac{CK}{EK} \ \ \textless \ =\ \textgreater \ \ \frac{CK}{DC}= \frac{EK}{ED}
при делении точкой отрезка на 2 части, относящиеся как m к n, есть формула для вычисления координат этой точки:
x= \frac{x_1+\lambda *x_2}{1+\lambda} \\y= \frac{y_1+\lambda *y_2}{1+\lambda} \\\lambda= \frac{m}{n}
ищем длины сторон:
для этого используем формулу |AB|=\sqrt{(x_1-x_2)^2+(y_1-y_2)^2}
|ED|=\sqrt{(3+4)^2+7^2}=\sqrt{98} \\|EK|=\sqrt{(3-8)^2+(2-3)^2}=\sqrt{26} \\|DK|=\sqrt{144+64}=\sqrt{208}
находим координаты точки C:
x_1=8;\ x_2=-4;\ y_1=3;\ y_2=-5 \\\lambda= \frac{CK}{DC} = \frac{EK}{ED} = \frac{\sqrt{26}}{\sqrt{98}}=\sqrt{ \frac{26}{98} }=\sqrt{ \frac{13}{49} } = \frac{\sqrt{13}}{7} \\C( \frac{8+ \frac{\sqrt{13}}{7} *(-4)}{1+ \frac{\sqrt{13}}{7}} ; \frac{3+ \frac{\sqrt{13}}{7}*(-5)}{1+ \frac{\sqrt{13}}{7}} )=C( \frac{8- \frac{4\sqrt{13}}{7} }{ \frac{7+\sqrt{13}}{7} } ; \frac{3- \frac{5\sqrt{13}}{7} }{\frac{7+\sqrt{13}}{7}} )=
=C( \frac{ \frac{56-4\sqrt{13}}{7} }{\frac{7+\sqrt{13}}{7}}; \frac{ \frac{21-5\sqrt{13}}{7} }{\frac{7+\sqrt{13}}{7}})=C( \frac{56-4\sqrt{13}}{7+\sqrt{13}} ; \frac{21-5\sqrt{13}}{7+\sqrt{13}} )
теперь определим вид треугольника для этого используем теорему косинусов:
вид треугольника будем определять по косинусу самого большого угла; если cos<0, то угол тупой; если cos=0, то угол прямой; если cos>0, то угол острый.
Против большей стороны лежит больший угол, поэтому запишем теорему косинусов для DK и косинуса угла E:
DK^2=ED^2+EK^2-2ED*EK*cosE \\cosE= \frac{ED^2+EK^2-DK^2}{2ED*EK} = \frac{98+26-208}{2\sqrt{98*26}}\ \textless \ 0
cosE<0 поэтому угол тупой и треугольник тупоугольный
ответ:
1) C( \frac{56-4\sqrt{13}}{7+\sqrt{13}} ; \frac{21-5\sqrt{13}}{7+\sqrt{13}} )
2) треугольник тупоугольный
4,7(63 оценок)
Это интересно:
logo
Вход Регистрация
Что ты хочешь узнать?
Спроси Mozg
Открыть лучший ответ