
1)(умножаем обе части на 18)
и получаем 3(3х-1)-6х=2(5-2х)
(раскрыть модуль)
9х-3-6х=10-4х
3х-3=10-4х
переносим слагаемые в другую часть
3х+4х=10-4х
7х=13
х=13\7
2)(умножаем обе части на 12)
6(3х+1)-15х=4(3-2х)
(раскрыть модуль)
18х+6-15х=12-8х
3х+6-12-8х
переносим слагаемые в другую часть
3х+8х=12-6
11х=6
х=6\11
3)(умножаем обе части на 24)
3(х+5)-12(1+х)=8(2х=1)
3х+15-12-12х=16х+8
-9х+3=16х+8
-9х-16х=8-3
-25х=5
х=-1\5
4)(умножаем обе части на 12)
8х-2(2х+1)=3(3х-9)
8х-4х-2=9х-27
4х-2=9х-27
4х-9х=-27+2
-5х=-25
х=5
5)(умножаем обе части на 8)
2(9х-7)-(9х+13)=4(3-х)
18х-14-9х-13=12-4х
9х-27=12-4х
9х+4х=12=27
13х=39
х=3
6)(умножаем обе части на 18)
3(6х+7)+2(5х-8)=54
18х+21+10х-16=54
28х+5=54
28х=54-5
28х=49
х=7/4
Объяснение:
ответ - первый случай: во сколько раз увеличим скорость, во столько же раз уменьшим время движения.
Второй случай не относится ни к обратной, ни даже к прямой пропорциональности.
Третий случай - это прямая пропорциональность.
P.s. Но хочу уточнить - если бы в третьем случае нам было сказано, что у нас есть фиксированная сумма денег, которую надо потратить на этот товар, то это тоже была бы обратная пропорциональность - при увеличении цены во сколько-то раз количество купленного товара во столько же раз уменьшилось бы.
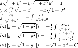
общее решение
частное решение