М
Молодежь
К
Компьютеры-и-электроника
Д
Дом-и-сад
С
Стиль-и-уход-за-собой
П
Праздники-и-традиции
Т
Транспорт
П
Путешествия
С
Семейная-жизнь
Ф
Философия-и-религия
Б
Без категории
М
Мир-работы
Х
Хобби-и-рукоделие
И
Искусство-и-развлечения
В
Взаимоотношения
З
Здоровье
К
Кулинария-и-гостеприимство
Ф
Финансы-и-бизнес
П
Питомцы-и-животные
О
Образование
О
Образование-и-коммуникации
Лдаслл183
Лдаслл183
17.03.2021 14:39 •  Алгебра

Найти производные следущих функций Подробно если можно

ответы есть но мне нужно решение я что-то в этом профан
1)-tg2x✓cos2x


Найти производные следущих функций Подробно если можноответы есть но мне нужно решение я что-то в эт

👇
Ответ:
Ionutamaria90
Ionutamaria90
17.03.2021

Производную берем так же, как у обычных степенных функций: (х^а)' = а*х^(а-1),

НО функции сложные, нужно взять еще производные внутренних функций.

1.

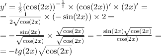
y = \sqrt{ \cos(2x) } = ( \cos(2x)) {}^{ \frac{1}{2} }

y '= \frac{1}{2} {( \cos(2x)) }^{ - \frac{1}{2} } \times ( \cos(2x))' \times (2x)' = \\ = \frac{1}{2 \sqrt{ \cos(2x) } } \times ( - \sin(2x)) \times 2 = \\ = - \frac{ \sin(2x) }{ \sqrt{ \cos(2x) } } \times \frac{ \sqrt{ \cos(2x) } }{ \sqrt{ \cos(2x) } } = - \frac{ \sin(2x) \sqrt{ \cos(2x) } }{ \cos(2x) } = \\ = - tg(2x) \sqrt{ \cos(2x) }

2.

y= \frac{1}{ \sqrt{ \cos( {x}^{2} ) } } = ( \cos( {x}^{2} ) ) {}^{ - \frac{1}{2} } \\

y '= - \frac{1}{2} (\cos( {x)}^{2} ) {}^{ \frac{3}{2} } \times ( \cos( {x}^{2}) ) ' \times ( {x}^{2} ) '= \\ = - \frac{1}{2 \sqrt{ \cos {}^{3} ( {x}^{2} ) } } \times ( - \sin( {x}^{2} ) ) \times (2x) = \\ = \frac{x \sin( {x}^{2} ) }{ \sqrt{ \cos {}^{3} ( {x}^{2} ) } } = \frac{x \sin( {x}^{2} ) }{ \cos( {x}^{2} ) \sqrt{ \cos( {x}^{2} ) } } = \frac{xtg( {x}^{2}) }{ \sqrt{ \cos( {x}^{2} ) } }

4,4(91 оценок)
Открыть все ответы
Ответ:
liqwer
liqwer
17.03.2021
Замена: cos(x) = t, t∈[-1;1]
5t^2 - 12t + 4 = 0
D=144 - 4*4*5 = 64
t1 = (12 - 8)/10 = 4/10 = 2/5
t2 = (12+8)/10 = 20/10 = 2 > 1 - посторонний корень
cosx = 2/5
x = +- arccos(2/5) + 2πk
x∈[-5π/2;-π]
1) -5π/2 ≤ arccos(2/5) + 2πk ≤ -π - во всех частях неравенства отнимем аркосинус, и получившееся выражение разделим на 2пи:
-5/4 - (arccos(2/5))/(2π) ≤ k ≤ -0.5 - (arccos(2/5))/(2π), => k= -1
2) -5π/2 ≤ -arccos(2/5) + 2πk ≤ -π - во всех частях неравенства прибави аркосинус, и получившееся выражение разделим на 2пи:
-5/4 + (arccos(2/5))/(2π) ≤ k ≤ -0.5 + (arccos(2/5))/(2π), => k= -1
Значит, нужный корень существует при k=-1
x = +-arccos(2/5) - 2π
4,6(56 оценок)
Ответ:
Скорость плота=скорости течения реки.
найдем время плота
51:3=17 (ч) плыл плот
17-1=16 (ч) плыла лодка
Пусть х-собственная скорость лодки тогда ее скорость по течению х+3, а скорость против течения х-3.
140/х+3 — время по течению
140/х-3 — время против течения

140/х+3 + 140/х-3=16
140(х-3)+140(х+3)=16(х^2-9)
140х-420+140х+420=16х^2-144
280х=16х^2-144
16х^2-280х-144=0
2х^2-35х-18=0
Д=35^2+4*2*18=1369=37^2
х1=35+37/4=18 (км/ч) - скорость лодки
х2=35-37/4= -2/4 — не удовлетворяет условию задачи.
ответ: 18 км/ч собственная скорость лодки
4,6(21 оценок)
Это интересно:
Новые ответы от MOGZ: Алгебра
logo
Вход Регистрация
Что ты хочешь узнать?
Спроси Mozg
Открыть лучший ответ