М
Молодежь
К
Компьютеры-и-электроника
Д
Дом-и-сад
С
Стиль-и-уход-за-собой
П
Праздники-и-традиции
Т
Транспорт
П
Путешествия
С
Семейная-жизнь
Ф
Философия-и-религия
Б
Без категории
М
Мир-работы
Х
Хобби-и-рукоделие
И
Искусство-и-развлечения
В
Взаимоотношения
З
Здоровье
К
Кулинария-и-гостеприимство
Ф
Финансы-и-бизнес
П
Питомцы-и-животные
О
Образование
О
Образование-и-коммуникации
arsenagadzhanin
arsenagadzhanin
07.09.2021 09:16 •  Алгебра

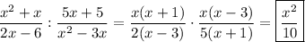
Виконайте ділення x²+x/2x-6 : 5x+5/x²-3x

👇
Ответ:
Елис13
Елис13
07.09.2021

\dfrac{x^{2} +x}{2x-6} :\dfrac{5x+5}{x^{2}-3x }=\dfrac{x(x+1)}{2(x-3)}\cdot\dfrac{x(x-3)}{5(x+1)}=\boxed{\dfrac{x^{2} }{10}}

4,7(99 оценок)
Открыть все ответы
Ответ:
Горова2007
Горова2007
07.09.2021
Я так думаю, здесь всё объединено?!
Короче, попробуем решить алгебраическим это когда первый пример + второй пример). Для этого, умножим первый пример на -1
{y - x = 9 |*(-1)
{7y - x = - 3
Получаем:
{ -у +х = -9
{ 7у - х = -3
Условно ставим между этими примерами знак "+", крч прибавляем. Т.к.
значения х (иксов) противоположные - они само-уничтожаются. Выходит:
6у = -12
у = -12 : 6
у = -2
Ура! Нашли значение у (игрика), теперь просто подставляешь это значение в любой пример и находишь х (икс). Например, в первый пример:
{у - х = 9
{у = -2
-2 - х = 9
-х = 9+2
{х = -11
{у= -2
ответ: (-11; - 2)
P.S. пыталась максимально доступно объяснить.
4,6(48 оценок)
Ответ:
Khghchcghcg123321
Khghchcghcg123321
07.09.2021
Действительные числа
Множество действительных чисел - это вместе взятые множества рациональных и иррациональных чисел.

Действительное число или как его еще называют вещественное число - это любое положительное число, отрицательное число или нуль.

Действительные числа разделяются на рациональные и иррациональные.

Вещественные (действительные) числа - это своего рода математическая абстракция, служащая для представления физических величин. Такие числа могут быть интуитивно представлены как отношение двух величин одной размерности, или описывающие положение точек на прямой. Множество вещественных чисел обозначается и часто называется вещественной или числовой прямой. Формально вещественные числа состоят из более простых объектов таких, как целые и рациональные числа.

Множество действительных чисел обозначается - R
4,6(53 оценок)
Это интересно:
Новые ответы от MOGZ: Алгебра
logo
Вход Регистрация
Что ты хочешь узнать?
Спроси Mozg
Открыть лучший ответ