М
Молодежь
К
Компьютеры-и-электроника
Д
Дом-и-сад
С
Стиль-и-уход-за-собой
П
Праздники-и-традиции
Т
Транспорт
П
Путешествия
С
Семейная-жизнь
Ф
Философия-и-религия
Б
Без категории
М
Мир-работы
Х
Хобби-и-рукоделие
И
Искусство-и-развлечения
В
Взаимоотношения
З
Здоровье
К
Кулинария-и-гостеприимство
Ф
Финансы-и-бизнес
П
Питомцы-и-животные
О
Образование
О
Образование-и-коммуникации
vikfffff
vikfffff
07.10.2022 18:34 •  Алгебра

, спростить пример:

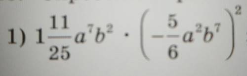
1 11/25а⁷b²*(-5/6a²b⁷)²


, спростить пример: 1 11/25а⁷b²*(-5/6a²b⁷)²

👇
Открыть все ответы
Ответ:
otoshol62
otoshol62
07.10.2022
Общий ход построения данных графиков:
График   -  прямая, для построения требуется две точки. Чертим координатную плоскость, подписываем оси и отмечаем положительное направление стрелками: вправо  по оси х и вверх по оси у.  Отмечаем  центр – точку О и единичные отрезки по обеим осям в 1 клетку. Далее заполняем таблицу (для каждого графика свою, приведена ниже):
Х=
У=
Отмечаем точки в системе координат, проводим через них прямую.
Подписываем график.
Всё!             
Итак, начнём:

у=-4х  - прямая,  проходящая через начало координат , поэтому достаточно ещё одной точки, например х=1, у= -4 , ставим  точку (1;-4) и проводим прямую через эту точку и начало координат.

у=х+4 
х= 0   -2
у= 4    2

у=3-х  
х= 0    3
у= 3    0

у=3х+2  
х= 0    -2
у= 2     -4
4,6(61 оценок)
Ответ:
omy00god
omy00god
07.10.2022
И остался служить на Кавказе. А Костылина только ещё через месяц выкупили за пять тысяч. Еле живого привезли.Когда Костылин совсем разболелся, распух, и ломота во всем теле, и всё стонет и спит. А Жилин видит дело плохо, начал подкапываться, но это было замечено.  Хозяин пригрозил убить. И когда пришла Дина и начала кидать. Жилин,расчистил  в яме местечко, наковырял глины, стал лепить кукол. Наделал людей, лошадей, собак; думает: "Как придёт Дина, брошу ей". Но, когда он услышал на следующий день, что татары спорят, кричат и напоминают про русских. Потом через некоторое время, приходит Дина и у них завязывается диалог. 
И звездной ночью, приходит Дина. говоря, что все разъехались, дома только двое. Она им подала шест, Жилин полез по нему первый. Раза два обрывался, колодка мешала. Вылез еле как. Слез под кручь, взял камень острый, стал замок с колодки выворачивать. Костылин остался там. "И остался служить на Кавказе. А Костылина только ещё через месяц выкупили за пять тысяч. Еле живого привезли."
Он шёл по лесу "Дошёл до лесу - никто не попался. Выбрав место по темнее, сел отдыхать."Всю ночь шел, не сдавался. По пути попались два татарина. Склонился за дерево. Когда увидев казаков, и собравшись с силами. Думал: " Избави бог тут, в чистом поле, увидит конный татарин: хоть близко, а не уйдёшь".
Увиделалт его татары,  он запаниковал, и начал кричать казакам.  Закончилось для Жилина всё хорошо. 
4,7(30 оценок)
Это интересно:
logo
Вход Регистрация
Что ты хочешь узнать?
Спроси Mozg
Открыть лучший ответ