М
Молодежь
К
Компьютеры-и-электроника
Д
Дом-и-сад
С
Стиль-и-уход-за-собой
П
Праздники-и-традиции
Т
Транспорт
П
Путешествия
С
Семейная-жизнь
Ф
Философия-и-религия
Б
Без категории
М
Мир-работы
Х
Хобби-и-рукоделие
И
Искусство-и-развлечения
В
Взаимоотношения
З
Здоровье
К
Кулинария-и-гостеприимство
Ф
Финансы-и-бизнес
П
Питомцы-и-животные
О
Образование
О
Образование-и-коммуникации
Timofry
Timofry
21.04.2023 02:06 •  Алгебра

Впрогрессии известны члены a2 = –1215 и a5 = –45. укажите номер k члена этой прогрессии, начиная с которого все её члены не меньше

👇
Ответ:
trollotrollovit
trollotrollovit
21.04.2023
Очевидно что прогрессия убывающая 
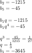
b_{2}=-1215\\
b_{5}=-45\\
\\
b_{1}q=-1215\\
b_{1}q^4=-45\\
\\
q^3=\frac{45}{1215}=\frac{1}{27}\\
q=\frac{1}{3}\\
b_{1}=-3645

тогда по условию 
b_{n}-\frac{5}{243}\\
b_{1}q^{n-1} -\frac{5}{243}\\
-3645*\frac{1}{3}^{n-1} -\frac{5}{243}\\
\frac{1}{3}^{n-1}
то есть начиная от 13 члена 
4,4(30 оценок)
Ответ:
rje87391
rje87391
21.04.2023
Я очень уважаю Матова но он немного опередил меня в вычислении а я все-же тоже решила выкладываю свое хотя тоже самое
Впрогрессии известны члены a2 = –1215 и a5 = –45. укажите номер k члена этой прогрессии, начиная с к
4,6(87 оценок)
Открыть все ответы
Ответ:
Раскрывая скобки в левой части, получаем неравенство x²-6x-16≥2x²+6x+11. Перенеся левую часть неравенства вправо, получаем неравенство x²+12x+27=(x+3)(x+9)≤0. Значит, квадратный трёхчлен x²+12x+27 обращается в 0 при x=-3 и при x=-9. Пусть x<-9 - например, пусть x=-10. Тогда (-10)²+12*(-10)+27=7>0, так что при x<-9 x²+12x+27>0. Пусть теперь -9<x<-3 - например, пусть x=-5. Тогда (-5)²+12*(-5)+27=-8<0, так что при -9≤x≤-3 x²+12x+27≤0. Пусть, наконец, x>-3 - например, пусть x=0. Тогда 0²+12*0+27=27>0, так что при x>-3 x²+12x+27>0. ответ: x ∈ [-9;-3], наименьшее значение x=-9, наибольшее - x=-3.
4,4(38 оценок)
Ответ:
sarinasergeeva
sarinasergeeva
21.04.2023
Значит
1) Площадь параллелограмма равна Основание умноженное на высоту
2) Проводишь высоту параллелограмма
3) У тебя получается треугольник, один угол равен 60 градусов, другой 90 (прямой), следовательно третий угол равен 30.
4) Сторона лежащая на против угла в 30 градусов равна половине гипотенузы, значит эта сторона равна 10 (половина гипотенузы, которая равна 20)
5) По теореме Пифагора найдем высоту. Высота равна квадратный корень из 20^2 - 10^2. Это равно 10 умножить на корень из 3.
6) Площадь параллелограмма равна 22 умножить на 10 корней из 3.
220 корней из 3
Возможно в вычислении ошиблась где-то
Но так вроде все верно должно быть
Если ты знаешь основы геометрии, то все поймешь.
4,6(86 оценок)
Это интересно:
Новые ответы от MOGZ: Алгебра
logo
Вход Регистрация
Что ты хочешь узнать?
Спроси Mozg
Открыть лучший ответ