М
Молодежь
К
Компьютеры-и-электроника
Д
Дом-и-сад
С
Стиль-и-уход-за-собой
П
Праздники-и-традиции
Т
Транспорт
П
Путешествия
С
Семейная-жизнь
Ф
Философия-и-религия
Б
Без категории
М
Мир-работы
Х
Хобби-и-рукоделие
И
Искусство-и-развлечения
В
Взаимоотношения
З
Здоровье
К
Кулинария-и-гостеприимство
Ф
Финансы-и-бизнес
П
Питомцы-и-животные
О
Образование
О
Образование-и-коммуникации
Hah125
Hah125
01.10.2021 05:22 •  Алгебра

помагите я буду блогадарна в фото 1 задания 1. обчисліть значення виразу
k 2+kh-2k-2h /k2+kh+2k+2h - 6k+12/2k-4
Якщо k=-3,17 h=5.


помагите я буду блогадарна в фото 1 задания 1. обчисліть значення виразу k 2+kh-2k-2h /k2+kh+2k+2h -

👇
Ответ:
Marshmelloo
Marshmelloo
01.10.2021

Объяснение:

4.

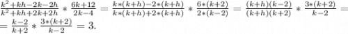
\frac{k^2+kh-2k-2h}{k^2+kh+2k+2h}*\frac{6k+12}{2k-4} =\frac{k*(k+h)-2*(k+h)}{k*(k+h)+2*(k+h)}*\frac{6*(k+2)}{2*(k-2)}=\frac{(k+h)(k-2)}{(k+h)(k+2)}*\frac{3*(k+2)}{k-2} =\\= \frac{k-2}{k+2}*\frac{3*(k+2)}{k-2}=3.

4,7(25 оценок)
Открыть все ответы
Ответ:
svetakotelniko
svetakotelniko
01.10.2021
Обозначим
а ---скорость первого пешехода в км/час
b ---скорость второго пешехода в км/час
t ---время в пути до встречи (для обоих пешеходов оно одинаковое)))
тогда
до встречи первый часть пути =(a*t) км
до встречи второй часть пути =(b*t) км
после встречи первый оставшуюся ему часть пути за 4 часа
b * t / a = 4          отсюда:   t = 4 * a / b
после встречи второй оставшуюся ему часть пути за 9 часов
a * t / b = 9
a*4*a / b² = 9
a / b = 3 / 2
t = 4*3/2 = 2*3 = 6
ответ: первый был в пути 4+6 = 10 часов
           второй был в пути 9+6 = 15 часов
6 часов они шли до встречи...
4,5(87 оценок)
Ответ:
Xzxzxzxzxzzxzxz
Xzxzxzxzxzzxzxz
01.10.2021
Уравнение четвёртой степени имеет вид:
   \alpha _0x^4+ \alpha _1x^3+ \alpha _2x^2+ \alpha _3x+ \alpha _4=0
Разделим обе части на коэффициент \alpha _0, получаем
             x^4+ \alpha x^3+ bx^2+cx+d=0
где a, b, c, d –  произвольные вещественные числа.

Уравнения вида приводится уравнение четвёртой степени, у которых отсувствует третьей степени., поэтому нужно сделать замену переменных, тоесть
   x=i- \frac{ \alpha }{4}, где \alpha - коэффициент перед х^3 и 4 - произвольные вещественные числа

В нашем случае такое уравнение: x^4+6x^3-21x^2+78x-16=0
Заменим x=i- \frac{6}{4} =i-1.5, получаем
 (i-1.5)^4+6(i-1.5)^3-21(i-1.5)^2+78(i-1.5)-16=0\\ i^4-6i^3+13.5i^2-13.5i+5.0625+6i^3-27i^2+40.5i-20.25-21i^2+\\+63i-47.25+78i-117-16=0\\ i^4-34.5i^2+168i-195.4375=0

Получаем кубическое уравнение: 2s^3-ps^2-2rs+rp- \frac{q^2}{4}=0
В нашем случае: p=-34.5;\,\,\,\,q=168;\,\,\,\,r=-195.4375
Подставляем и получаем уравнение
  2s^3+34.5s^2+2\cdot195.4375s+34.5\cdot195.4375- \frac{168^2}{4}=0\\ 64s^3-1104s^2+12508s-10029=0
Разложим одночлены в сумму нескольких
   64s^3-48s^2+1152s^2-864s+13372s-10029=0
Выносим общий множитель
16s^2(4s-3)+288s(4s-3)+3343(4s-3)=0\\ (4s-3)(16s^2+288s+3343)=0\\ s=0.75
Уравнение 16s²+288s+3343=0 решений не имеет, так как D<0

Таким образом для решения уравнения остается квадратное уравнение
i^2+i \sqrt{2s-p} - \frac{q}{2\sqrt{2s-p}}+s=0
Заменяем
  i^2+i\sqrt{2\cdot0.75+34.5}- \frac{168}{\sqrt{2\cdot0.75+34.5}} +0.75=0\\ 4i^2+24i-53=0\\ D=b^2-4ac=576+848=1424\\ i= \dfrac{-6\pm \sqrt{89} }{2}

Возвращаемся к замене
  x=i-1.5=\dfrac{-6\pm \sqrt{89} }{2}- \dfrac{3}{2} =\dfrac{-9\pm \sqrt{89} }{2}

Окончательный ответ: \dfrac{-9\pm \sqrt{89} }{2}.
4,6(12 оценок)
Это интересно:
Новые ответы от MOGZ: Алгебра
logo
Вход Регистрация
Что ты хочешь узнать?
Спроси Mozg
Открыть лучший ответ