М
Молодежь
К
Компьютеры-и-электроника
Д
Дом-и-сад
С
Стиль-и-уход-за-собой
П
Праздники-и-традиции
Т
Транспорт
П
Путешествия
С
Семейная-жизнь
Ф
Философия-и-религия
Б
Без категории
М
Мир-работы
Х
Хобби-и-рукоделие
И
Искусство-и-развлечения
В
Взаимоотношения
З
Здоровье
К
Кулинария-и-гостеприимство
Ф
Финансы-и-бизнес
П
Питомцы-и-животные
О
Образование
О
Образование-и-коммуникации
maхimus
maхimus
25.03.2022 13:15 •  Алгебра

Решите систему уравнений
{x/y+y/x=5/2
{x²-y²=27

👇
Ответ:
VladGulevevatiy
VladGulevevatiy
25.03.2022

Объяснение:

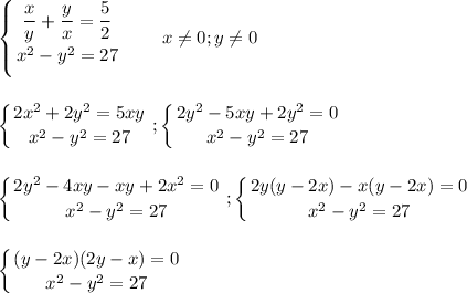
\displaystyle\\\left \{ {{\dfrac{x}{y} +\dfrac{y}{x}=\dfrac{5}{2} } \atop {x^2-y^2=27}} \right. ~~~~~~x\neq 0;y\neq 0\\\\\\\left \{ {{2x^2+2y^2=5xy} \atop {x^2-y^2=27}} \right. ;\left \{ {{2y^2-5xy+2y^2=0} \atop {x^2-y^2=27}} \right. \\\\\\\left \{ {{2y^2-4xy-xy+2x^2=0} \atop {x^2-y^2=27}} \right. ;\left \{ {{2y(y-2x)-x(y-2x)=0} \atop {x^2-y^2=27}} \right. \\\\\\\left \{ {{(y-2x)(2y-x)=0} \atop {x^2-y^2=27}} \right.

\displaystyle\\1)\left \{ {{y=2x} \atop {x^2-y^2=27}} \right. ;\left \{ {{y=2x} \atop {x^2-4x^2=27}} \right. ;\left \{ {{y=2x} \atop {x^2=-1}} \right.   ∅

\displaystyle\\2)\left \{ {{x=2y} \atop {4y^2-y^2=27}} \right. ;\left \{ {{x=2y} \atop {y^2=9}} \right.;\left \{ {{x=2y} \atop {y=\pm3}} \right. \\\\y_1=-3;x_1=-6\\y_2=3;x_2=6\\\\Otvet:(-6;-3)~(6;3)

4,5(34 оценок)
Открыть все ответы
Ответ:
VikaFragran
VikaFragran
25.03.2022
Многочлен 4-ой степени первый коэффициент которого 2(!) и последний 2 (!) можно представить в виде многочленов второй степени так
2y⁴+y³+4y²-y+2=(y²+Ay+1)*(2y²+Cy+2)    (1)
или
2y⁴+y³+4y²-y+2=(y²+Ay+2)*(2y²+Cy+1)    (2)

Раскрываем скобки:
2y⁴+y³+4y²-y+2=2y⁴+(2A+C)y³+(4+AC)y²+(2A+C)y+2
Два многочлена равны, если у них одинаковые степени и коэффициенты при одинаковых степенях переменной совпадают.
2A+C=1
4+AC=4
2A+C=-1
Первая и третья строка противоречат друг другу, значит разложение (1) невозможно

2y⁴+y³+4y²-y+2=(y²+Ay+2)*(2y²+Cy+1)    (2)

Раскрываем скобки:
2y⁴+y³+4y²-y+2=2y⁴+(2A+C)y³+(4+AC+1)y²+(2С+А)y+2
Два многочлена равны, если у них одинаковые степени и коэффициенты при одинаковых степенях переменной совпадают.
2A+C=1  ⇒  C=1-2A
4+AC+1=4
2С+A=-1   ⇒C= (-1-A)/2

1-2A=(-1-A)/2
2-4A=-1-A
3=3A
A=1
C=-1
О т в е т. 
2y⁴+y³+4y²-y+2=(y²+y+2)*(2y²-y+1)   
4,5(27 оценок)
Ответ:
You1236
You1236
25.03.2022
X - 5 = √ (x + 1)
x ≥ - 1
√ (x - 5)² = √ (x + 1)
(x - 5)² = x + 1
x² - 10x + 25 = x + 1
x² - 10x + 25 - x - 1 = 0
x² - 11x + 24 = 0
По теореме Виета:
x₁ + x₂ = 11
x₁ * x₂ = 24
x₁ = 3; x₂ = 8
ответ: 3; 8

√ (x² - 3x - 1) + 7 = 2x
√ (x² - 3x - 1) = 2x - 7
√ (x² - 3x - 1) = √ (2x - 7)²
x² - 3x - 1 = (2x - 7)²
x² - 3x - 1 = 4x² - 28x + 49
x² - 3x - 1 - 4x² + 28x - 49 = 0
- 3x² + 25x - 50 = 0
D = 25² - 4 * (- 3) * (- 50) = 625 - 600 = 25
x₁ = (- 25 + √25) / - 6 = - 20 / - 6 = 20/6 = 3 2/6 = 3 1/3
x₂ = (- 25 - √25) / - 6 = - 30 / - 6 = 5
ответ: 3 1/3; 5
4,7(5 оценок)
Это интересно:
Новые ответы от MOGZ: Алгебра
Полный доступ к MOGZ
Живи умнее Безлимитный доступ к MOGZ Оформи подписку
logo
Вход Регистрация
Что ты хочешь узнать?
Спроси Mozg
Открыть лучший ответ