М
Молодежь
К
Компьютеры-и-электроника
Д
Дом-и-сад
С
Стиль-и-уход-за-собой
П
Праздники-и-традиции
Т
Транспорт
П
Путешествия
С
Семейная-жизнь
Ф
Философия-и-религия
Б
Без категории
М
Мир-работы
Х
Хобби-и-рукоделие
И
Искусство-и-развлечения
В
Взаимоотношения
З
Здоровье
К
Кулинария-и-гостеприимство
Ф
Финансы-и-бизнес
П
Питомцы-и-животные
О
Образование
О
Образование-и-коммуникации
рано12
рано12
16.05.2023 02:11 •  Алгебра

Исследуйте функцию y=2sin 3x на монотонность на заданном промежутке а)[0; п/2] ; 0) в)(2п/3; 5п/3) г)(3; 9).

👇
Ответ:
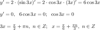
Возьмем производную

y'=2 \cdot (\sin3x)'=2 \cdot \cos 3x \cdot (3x)' = 6\cos3x \\ \\ y'=0, \ \ 6\cos3x=0; \ \ \cos 3x=0 \\ \\ 3x = \frac{\pi}{2}+ \pi n, \ n \in Z; \ \ x = \frac{\pi}{6}+\frac{\pi n}{3}, \ n \in Z

a) [0; pi/2]

функция возрастает на 0 \leq x < \frac{\pi}{6}

убывает на \frac{\pi}{6} \ \textless \ x \ \textless \ \frac{\pi}{2}

б) (-1; 0)

функция возрастает на -\frac{\pi}{6} < x \leq 0

убывает на -1 \leq x \ \textless \ -\frac{\pi}{6}


в) (2pi/3; 5pi/3)

функция возрастает на \frac{2pi}{3} \leq x < \frac{5pi}{6} \ \cup \ \frac{7pi}{6}<x<\frac{3\pi}{2}

убывает на \frac{5pi}{6} < x < \frac{7pi}{6} \ \cup \ \frac{3pi}{2}<x \leq \frac{5\pi}{3}

г) (3; 9)

функция возрастает на \frac{7 \pi}{6} \leq x< \frac{3\pi}{2} \ \cup \ \frac{11\pi}{6} <x< \frac{13\pi}{6} \ \cup \ \frac{5 \pi}{2} < x \leq \frac{17 \pi}{6}

убывает на 3 \leq x\ \textless \ \frac{7\pi}{6} \ \cup \ \frac{3\pi}{2} \ \textless \ x\ \textless \ \frac{11\pi}{6} \ \cup \ \frac{13 \pi}{6} \ \textless \ x\ \textless \ \frac{5\pi}{2} \ \cup \ \frac{17 \pi}{6} \ \textless \ x \leq 9
4,4(4 оценок)
Открыть все ответы
Ответ:
891447819danilDanil
891447819danilDanil
16.05.2023

Даны векторы: а=(4;3;5) , b=(-3;-4;2), c=(7;2;1)  и d=(-2;5;13).

в) Так как в разных учебниках даётся разное обозначение действий с векторами, в задании надо было словами оговорить нужное действие.

Будем считать, что задано скалярное произведение суммы векторов a и  b на вектор c.

a + b = (4; 3; 5)

          (-3; -4; 2)  

          (1; -1; 7).

(a + b)*c =  (1; -1; 7)*(7;2;1)  = 7 - 2 + 7 = 12.

г) a + 2b = (4; 3; 5)

              (-6; -8; 4)  

                (-2; -5; 9).

c - 2d = (7; 2; 1)

          (-4; 10; 26)  

          (11; -8; -25).

Задано векторное произведение векторов:

(a + 2b) = (-2; -5; 9) и c - 2d =  (11; -8; -25)/

 i         j        k|         i         j

-2      -5       9|      -2       -5

11       -8     -25|      11        -8 = 125i + 99j + 16k - 50j + 72i + 55k =

                                            = 197i + 49j + 71k = (197; 49; 71).

4,5(7 оценок)
Ответ:
DashaP2006
DashaP2006
16.05.2023

а) да, верно; б) да, верно; в) нет, неверно; г) да, верно.

Объяснение:

Вспомним какие буквы какие множества чисел обозначают и что за числа к этим множествам относятся:

N - множество натуральных чисел (все целые положительные, не влючая 0)

R - множество действительных чисел (все числа, включая иррациональные, кроме комплексных)

Z - множество целых чисел (все натуральные, также им противоположные, включая 0)

Q - множество рациональных чисел (все целые, также дробные и десятичные периодические)

а) 7 ∈ N (утверждение верно)

б) √4 ∈ R (утверждение верно)

в) 0,8 ∉ Z (утверждение, что 0,8 ∈ Z неверно)

г) 6 ∈ Q (утверждение верно)

4,7(89 оценок)
logo
Вход Регистрация
Что ты хочешь узнать?
Спроси Mozg
Открыть лучший ответ