М
Молодежь
К
Компьютеры-и-электроника
Д
Дом-и-сад
С
Стиль-и-уход-за-собой
П
Праздники-и-традиции
Т
Транспорт
П
Путешествия
С
Семейная-жизнь
Ф
Философия-и-религия
Б
Без категории
М
Мир-работы
Х
Хобби-и-рукоделие
И
Искусство-и-развлечения
В
Взаимоотношения
З
Здоровье
К
Кулинария-и-гостеприимство
Ф
Финансы-и-бизнес
П
Питомцы-и-животные
О
Образование
О
Образование-и-коммуникации
Kr3sher
Kr3sher
04.07.2022 05:50 •  Алгебра

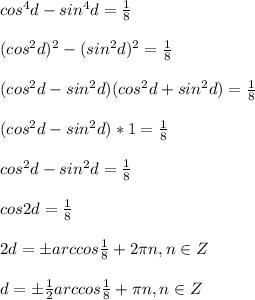
Найдите cosd если cos⁴d - sin⁴d = ⅛

👇
Ответ:
bektemirova1
bektemirova1
04.07.2022

\pm\frac{1}{2}arccos\frac{1}{8}+\pi n, n\in Z

Объяснение:

cos^4d-sin^4d=\frac{1}{8}(cos^2d)^2-(sin^2d)^2=\frac{1}{8}(cos^2d-sin^2d)(cos^2d+sin^2d)=\frac{1}{8}(cos^2d-sin^2d)*1=\frac{1}{8}cos^2d-sin^2d=\frac{1}{8}cos2d=\frac{1}{8}2d=\pm arccos\frac{1}{8}+2\pi n, n\in Zd=\pm\frac{1}{2}arccos\frac{1}{8}+\pi n, n\in Z

Для решения использованы формулы:

a^2-b^2=(a-b)(a+b)cos^2a+sin^2a=1cos^2a-sin^2a=cos2a

4,7(3 оценок)
Открыть все ответы
Ответ:
vladwf111
vladwf111
04.07.2022

1)х≠9

х²=12-х

х²-12+х=0

х²+4х-3х+12=0

х(х+4)-3(х+4)=0

(х+4)(х-3)=0

х+4=0 х-3=0

х=-4 х=3 х≠9

ответ: -4,3

2) х≠1/2

(х²-2х)(1-2х)=(4х-3)(2х-1)

х²-2х³-2х+4х²-(8х²-4х-6х+3)=0

х²-2х³-2х+4х²-(8х²-10х+3)=0

х²-2х³-2х+4х²-8х²+10х-3=0

-3х²-2х³+8х-3=0

-2х³-3х²+5х+3х-3=0

-2х³+2х²-5х²+5х+3х-3=0

-2х²(х-1)-5х(х-1)+3(х-1)=0

-(х-1)(2х²+5х-3)=0

-(х-1)(2х²+6х-х-3)=0

-(х-1)(2х(х+3)-(х+3))=0

-(х-1)(х+3)(2х-1)=0

(х-1)(х+3)(2х-1)=0

х-1=0 х+3=0 2х-1=0

х=1 х=-3 х=1/2 !х≠1/2!

ответ: 1,-3

3) х≠2 х≠0

6/х-2 +5/х -3=0

6х+5(х-2)-3х(х-2)/х(х-2)= 0

17х-10х²-3х²/х(х-2)=0

-3х²+17х-10=0

3х²-17х+10=0

3х²-2х-15х+10х=0

х(3х-2)-5(3х-2)=0

(3х-2)(х-5)=0

3х-2=0 х-5=0

х=2/3 х=5 х≠2 х≠0

ответ:2/3,5

4,8(32 оценок)
Ответ:
Nadezhda6313
Nadezhda6313
04.07.2022

1)х≠9

х²=12-х

х²-12+х=0

х²+4х-3х+12=0

х(х+4)-3(х+4)=0

(х+4)(х-3)=0

х+4=0 х-3=0

х=-4 х=3 х≠9

ответ: -4,3

2) х≠1/2

(х²-2х)(1-2х)=(4х-3)(2х-1)

х²-2х³-2х+4х²-(8х²-4х-6х+3)=0

х²-2х³-2х+4х²-(8х²-10х+3)=0

х²-2х³-2х+4х²-8х²+10х-3=0

-3х²-2х³+8х-3=0

-2х³-3х²+5х+3х-3=0

-2х³+2х²-5х²+5х+3х-3=0

-2х²(х-1)-5х(х-1)+3(х-1)=0

-(х-1)(2х²+5х-3)=0

-(х-1)(2х²+6х-х-3)=0

-(х-1)(2х(х+3)-(х+3))=0

-(х-1)(х+3)(2х-1)=0

(х-1)(х+3)(2х-1)=0

х-1=0 х+3=0 2х-1=0

х=1 х=-3 х=1/2 !х≠1/2!

ответ: 1,-3

3) х≠2 х≠0

6/х-2 +5/х -3=0

6х+5(х-2)-3х(х-2)/х(х-2)= 0

17х-10х²-3х²/х(х-2)=0

-3х²+17х-10=0

3х²-17х+10=0

3х²-2х-15х+10х=0

х(3х-2)-5(3х-2)=0

(3х-2)(х-5)=0

3х-2=0 х-5=0

х=2/3 х=5 х≠2 х≠0

ответ:2/3,5

4,5(96 оценок)
Это интересно:
Новые ответы от MOGZ: Алгебра
logo
Вход Регистрация
Что ты хочешь узнать?
Спроси Mozg
Открыть лучший ответ