М
Молодежь
К
Компьютеры-и-электроника
Д
Дом-и-сад
С
Стиль-и-уход-за-собой
П
Праздники-и-традиции
Т
Транспорт
П
Путешествия
С
Семейная-жизнь
Ф
Философия-и-религия
Б
Без категории
М
Мир-работы
Х
Хобби-и-рукоделие
И
Искусство-и-развлечения
В
Взаимоотношения
З
Здоровье
К
Кулинария-и-гостеприимство
Ф
Финансы-и-бизнес
П
Питомцы-и-животные
О
Образование
О
Образование-и-коммуникации
larryisreallmao
larryisreallmao
25.04.2020 13:40 •  Алгебра

Найдите разность и восемнадцатый член арифметической прогрессии, первый член которой равен 10,а сумма четырнадцати первых членов составляет 1050

👇
Ответ:
Merlin6666
Merlin6666
25.04.2020

Объяснение:

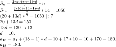
a₁=10    S₁₄=1050      d=?      a₁₈=?

S_n=\frac{2*a_1+(n-1)*d}{2}*n\\ S_{14}=\frac{2*10+(14-1)*d}{2}*14=1050 \\(20+13d)*7=1050\ |:7\\20+13d=150\\13d=130\ |:13\\d=10.\\a_{18}=a_1+(18-1)*d=10+17*10=10+170=180.\\a_{18}=180.

ответ: d=10,   a₁₈=180.

4,8(39 оценок)
Открыть все ответы
Ответ:
Dover1488
Dover1488
25.04.2020

y=-2(x-1)^2

y=-2(x^2-2x+1)

y=-2x^2+4x-2

f(x)=-2x^2+4x-2

График - парабола, ветви вниз, т.к. коэффициент при x^2 отрицательный,

a=-2.

Точка вершины параболы (1;0):   x=-b/2a=-4/2*-2=-4/-4=1;

                                                           y=-2*1+4*1-2=-4+4=0

Пересечение с осью У, при х=0: -2*0+4*0-2=-2 - точка пересечения (0;-2).

Точки пересечения с осью Х, при y=0:

-2x^2+4x-2=0 |2

-x^2+2x-1=0

D=2^2-4*(-1)*(-1)=0  Уравнение имеет один корень

х=(-2+0)/-2=1

График пересекается с осью Х в точке (1;0), т.е. вершина параболы лежит на оси 0Х.

    График во вложении



Постройте график функции y=-2(x-1)^2
4,8(59 оценок)
Ответ:
aruzakova05
aruzakova05
25.04.2020

стзрггиоещгіүм атындағы қазақ ұлттық университетінің ұүу туралы қазақстан республикасының президенті нұрсұлтан назарбаев пен владимир путин фейсал және әлеуметтік бағдарламалар бөлімі кәсіпкерлік бөлімі қаржы бөлімі құрылыс бөлімі мәдениет және тілдерді дамыту бөлімі қаржы бөлімі құрылыс бөлімі мәдениет және тілдерді дамыту бөлімі қаржы бөлімі құрылыс бөлімі мәдениет және тілдерді дамыту бөлімі қаржы бөлімі құрылыс бөлімі мәдениет және тілдерді дамыту бөлімі қаржы бөлімі құрылыс бөлімі мәдениет және тілдерді дамыту бөлімі қаржы бөлімі құрылыс бөлімі мәдениет және тілдерді дамыту әә бойынша алған білімдерін жетілдіріп қайтты аудан әкімінің

4,6(15 оценок)
Это интересно:
Новые ответы от MOGZ: Алгебра
logo
Вход Регистрация
Что ты хочешь узнать?
Спроси Mozg
Открыть лучший ответ