М
Молодежь
К
Компьютеры-и-электроника
Д
Дом-и-сад
С
Стиль-и-уход-за-собой
П
Праздники-и-традиции
Т
Транспорт
П
Путешествия
С
Семейная-жизнь
Ф
Философия-и-религия
Б
Без категории
М
Мир-работы
Х
Хобби-и-рукоделие
И
Искусство-и-развлечения
В
Взаимоотношения
З
Здоровье
К
Кулинария-и-гостеприимство
Ф
Финансы-и-бизнес
П
Питомцы-и-животные
О
Образование
О
Образование-и-коммуникации
mironovadano4ka
mironovadano4ka
17.04.2020 12:30 •  Алгебра

ответ (7; 2) решить долго ломал голову так и не решил

👇
Ответ:
bebe13
bebe13
17.04.2020
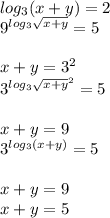
log_{3}(x+y)=2\\
9^{log_{3}\sqrt{x+y}}=5\\
\\
x+y=3^2\\
3^{log_{3}\sqrt{x+y}^2}=5\\
\\
x+y=9\\
3^{log_{3}(x+y)}=5\\
\\
x+y=9\\
x+y=5

система не совместна 
4,6(19 оценок)
Открыть все ответы
Ответ:
keram1it228
keram1it228
17.04.2020

1)18 (машин на второй стоянке)

  36 (машин на первой стоянке)

  29 (машин на третьей стоянке)

2)10 (бочек на втором стеллаже)

  27 (бочек на третьем стеллаже)

  81 (бочка на первом стеллаже)

Объяснение:

1. На трёх стоянках 83 автомобиля, на первой в два раза больше, чем на второй, а на третьей на 7 машин меньше , чем на первой. Сколько машин на каждой стоянке?

1)х - машин на второй стоянке

2х - машин на первой стоянке

2х-7 - машин на третьей стоянке.

По условию задачи всего 83 машины, уравнение:

х+2х+2х-7=83

5х=83+7

5х=90

х=90/5

х=18 (машин на второй стоянке)

18*2=36 (машин на первой стоянке)

36-7=29 (машин на третьей стоянке)

Проверка:

18+36+29=83 (маш.)

2) На трёх стеллажах 118 бочек, причём на третьем в три раза меньше , чем на первом и на 17 больше чем втором. Сколько бочек на каждом стеллаже?

х - бочек на втором стеллаже

х+17 - бочек на третьем стеллаже

3(х+17) - бочек на первом стеллаже

По условию задачи всего 118 бочек, уравнение:

х+х+17+3(х+17)=118

2х+17+3х+51=118

5х=118-68

5х=50

х=10 (бочек на втором стеллаже)

10+17=27 (бочек на третьем стеллаже)

27*3=81 (бочек на первом стеллаже)

Проверка:

10+27+81=118.

4,6(8 оценок)
Ответ:
milenmuradyan
milenmuradyan
17.04.2020

0,75

Объяснение:

Для решения применим правило нахождения геометрической вероятности: Если фигура F₁ содержится в фигуре F, тогда вероятность попадания в фигуру F₁, при условии попадания в фигуру F равна отношению площадей: Р=S(F₁):S(F)

Фигура первая  - большой круг с радиусом 2 см, площадь которого равна πR² = π*2²=4π (см²)

Фигура вторая - маленький круг с радиусом 1 см, площадь которого равна πr² =π*1² =π (см²)

Событие А - "точка В попадет в маленький круг радиуса 1 см, находящийся внутри большого круга радиусом 2 см".

По правилу нахождения геометрической вероятности получаем  вероятность попадания точки В в маленький круг радиуса 1 см:

Р(А) = π:4π = 1/4=0,25

Вероятность того, что точка В не попадёт в маленький круг радиуса 1 см, находящийся внутри большого круга радиуса 2 см, равна вероятности противоположного события событию А, т.е.

Р = 1-Р(А) = 1-0,25 = 0,75

*** Для решения использованы формула площади круга с радиусом R:

Sкр. = πR²

4,6(24 оценок)
Новые ответы от MOGZ: Алгебра
logo
Вход Регистрация
Что ты хочешь узнать?
Спроси Mozg
Открыть лучший ответ